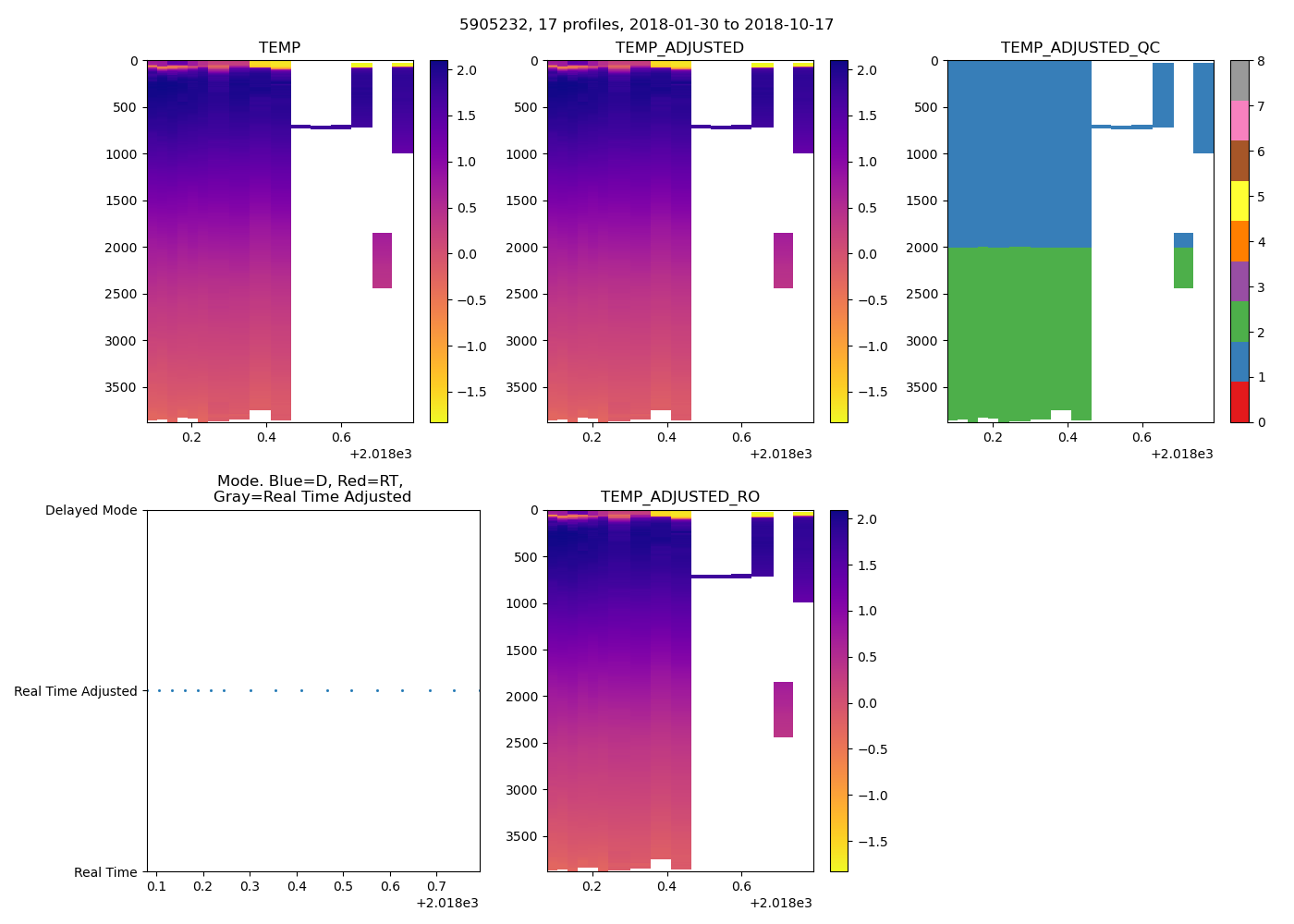
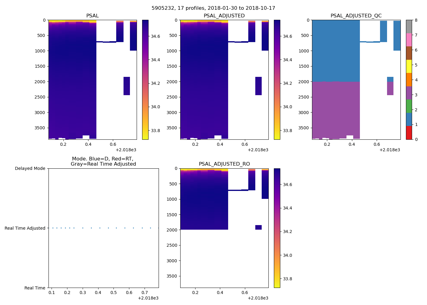
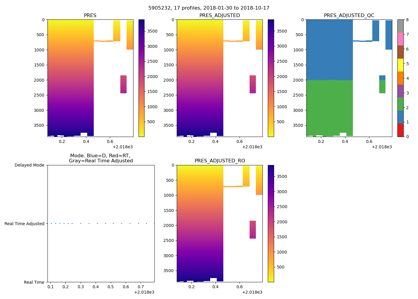
5905232: nan (2018-01-30T18:18 to 2018-10-17T14:20)
17 profiles completed
Individual float file download: BGC_Argo_Plus_Global

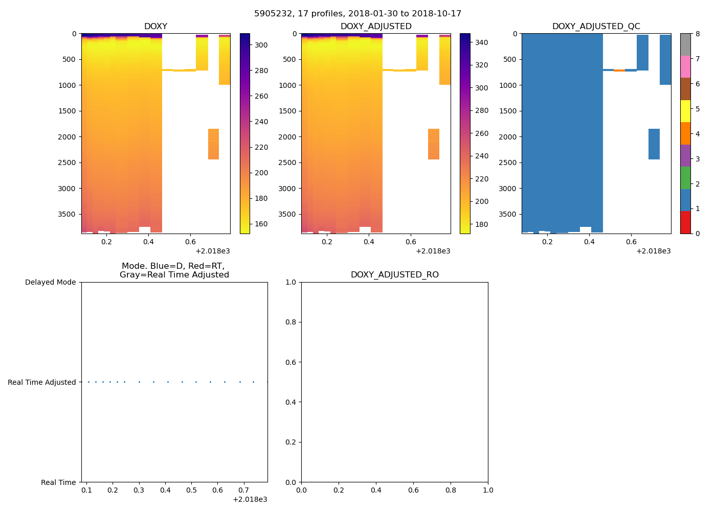
5905232: nan (2018-01-30T18:18 to 2018-10-17T14:20)
17 profiles completed
Individual float file download: BGC_Argo_Plus_Global
