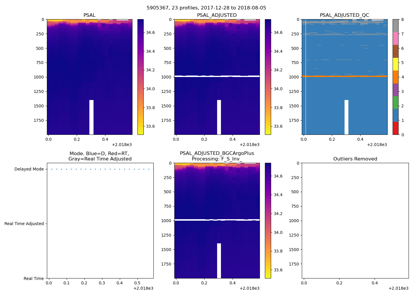
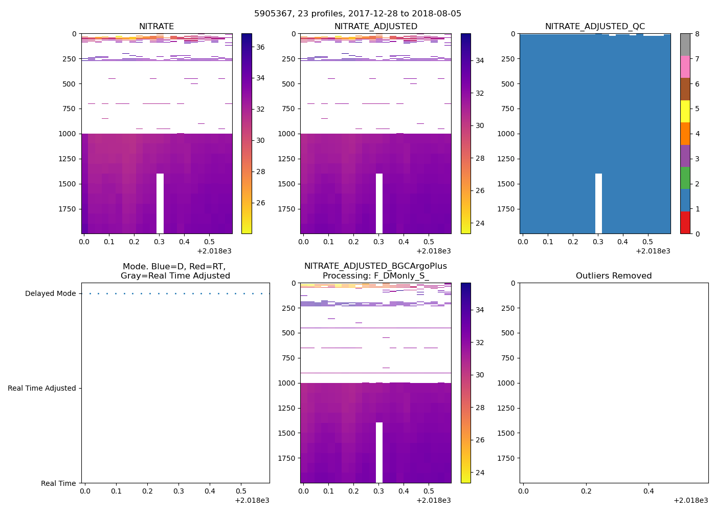
5905367: UW, SOCCOM, Argo equivalent (2017-12-28T12:54 to 2018-08-05T20:23)
23 profiles completed
Individual float file download: BGC_Argo_Plus_Global

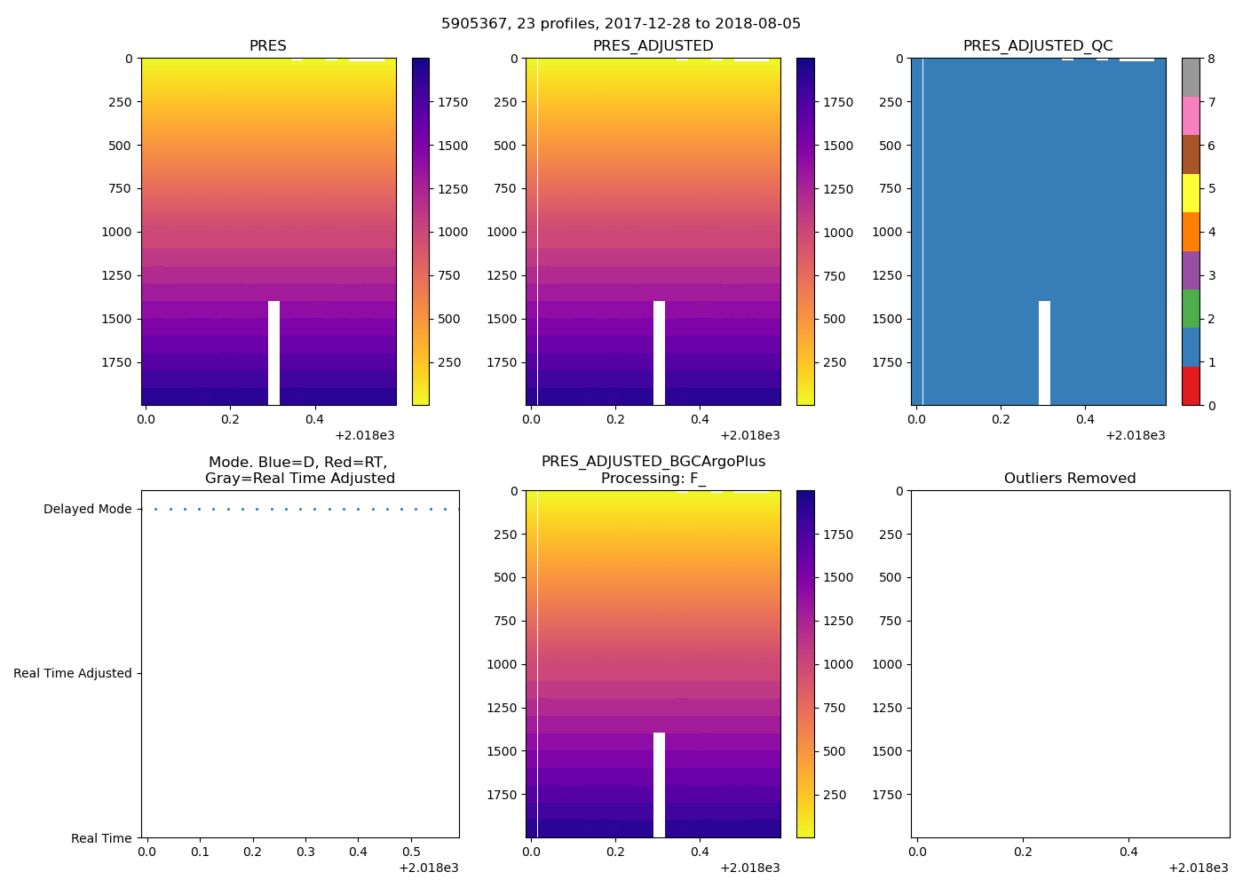
5905367: UW, SOCCOM, Argo equivalent (2017-12-28T12:54 to 2018-08-05T20:23)
23 profiles completed
Individual float file download: BGC_Argo_Plus_Global
