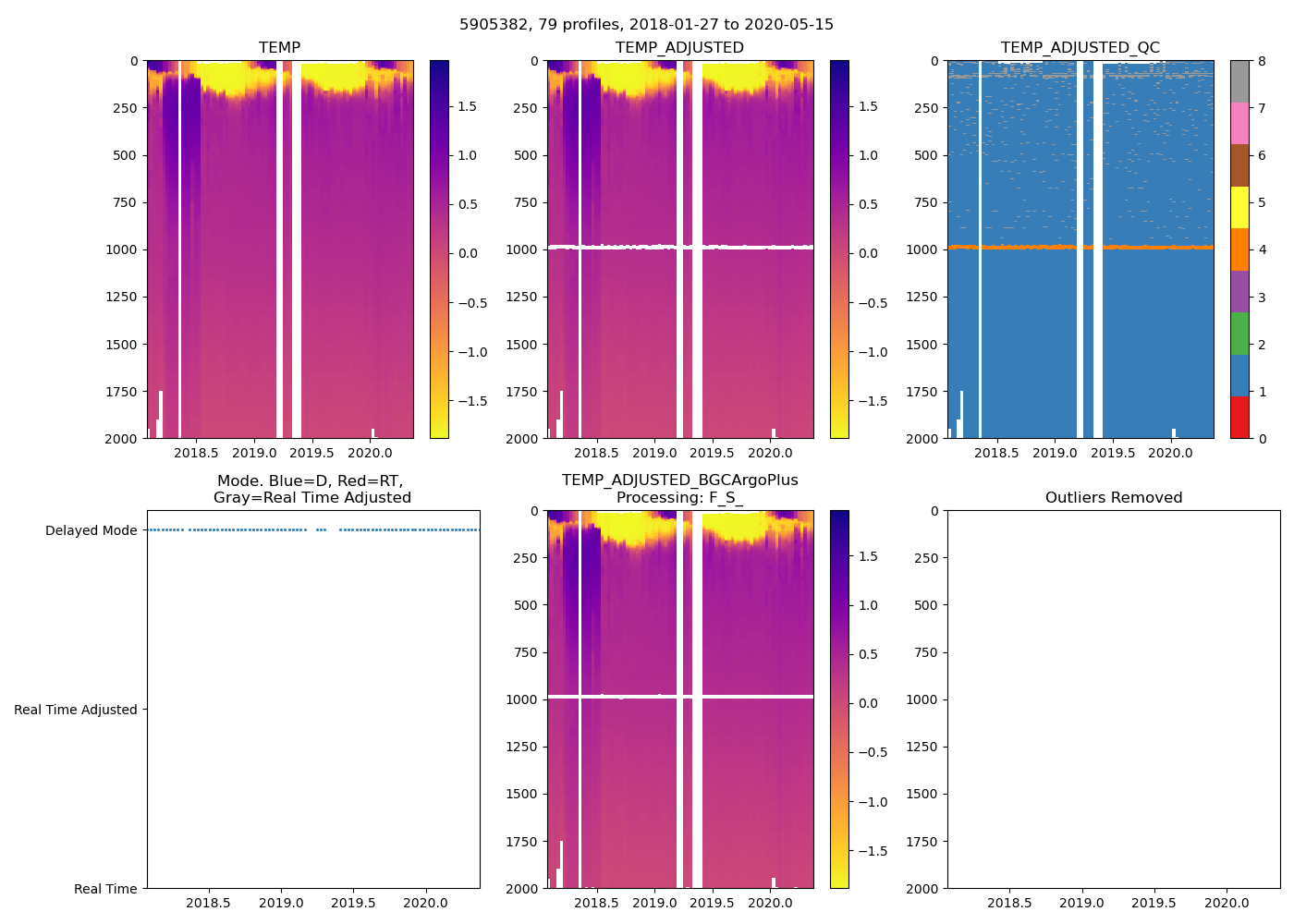
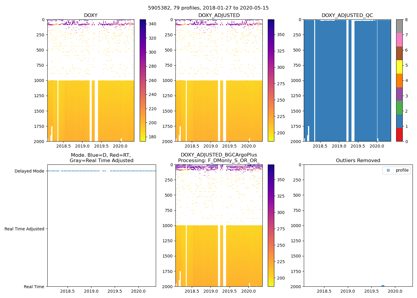
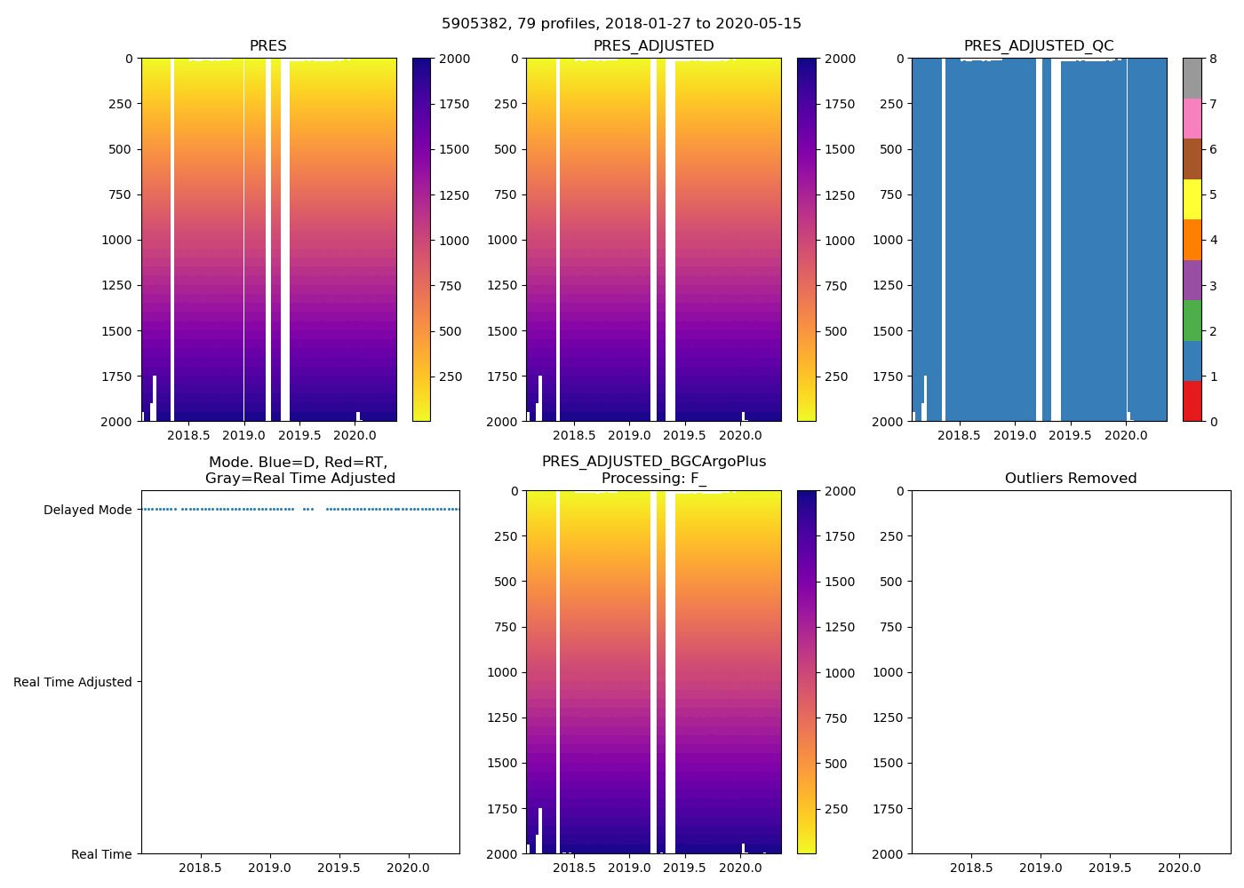
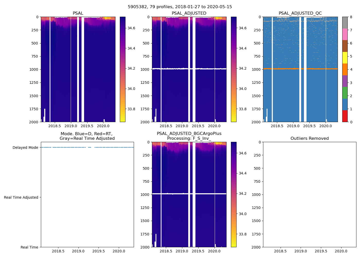
5905382: UW, Argo (2018-01-27T01:46 to 2020-05-15T00:36)
79 profiles completed
Individual float file download: BGC_Argo_Plus_Global
img-png img-png img-png img-png img-png