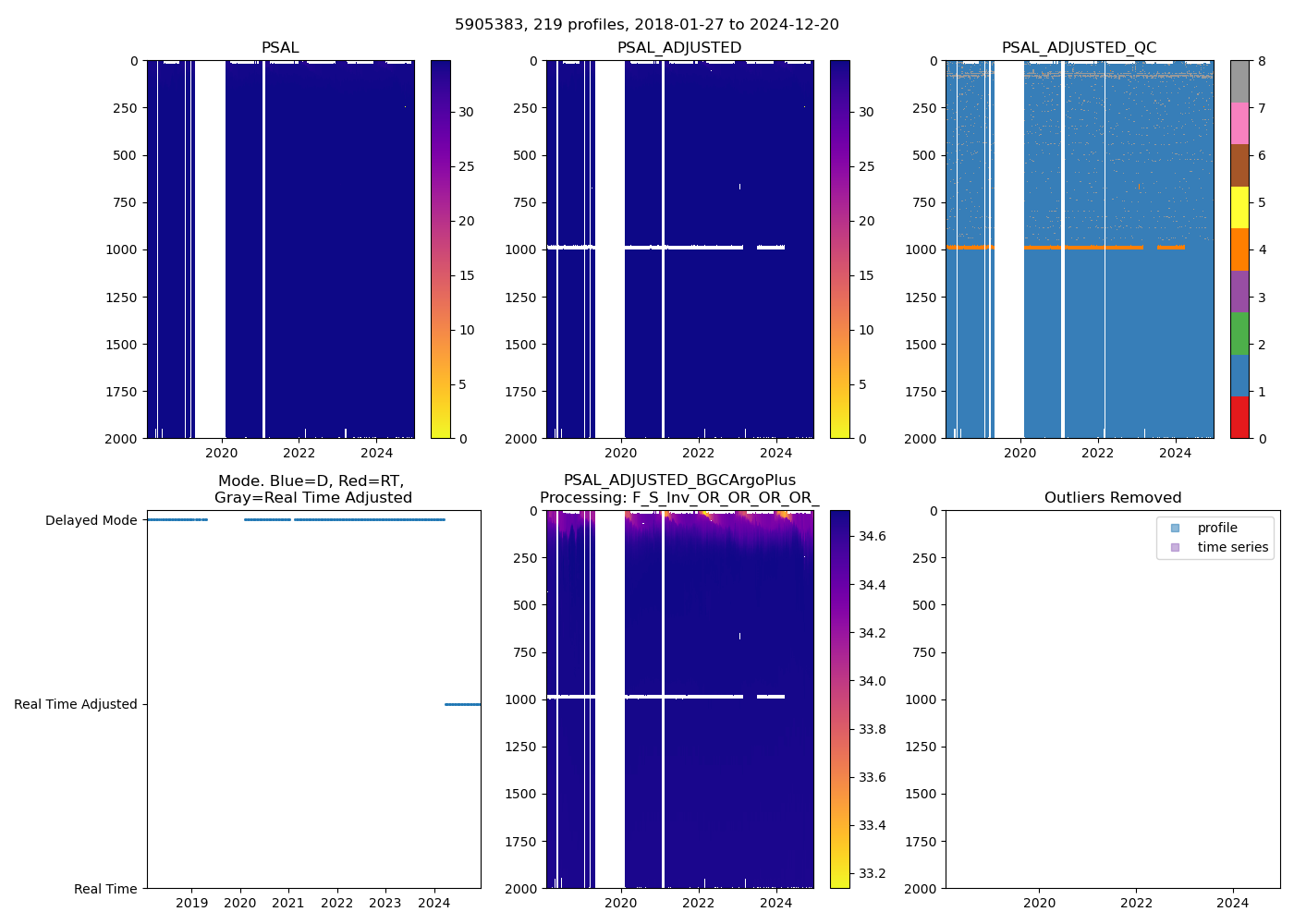
5905383: UW, Argo (2018-01-27T13:00 to 2024-12-20T11:25)
219 profiles completed
Individual float file download: BGC_Argo_Plus_Global

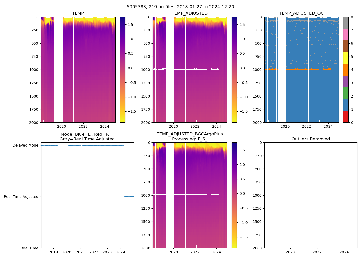
5905383: UW, Argo (2018-01-27T13:00 to 2024-12-20T11:25)
219 profiles completed
Individual float file download: BGC_Argo_Plus_Global
