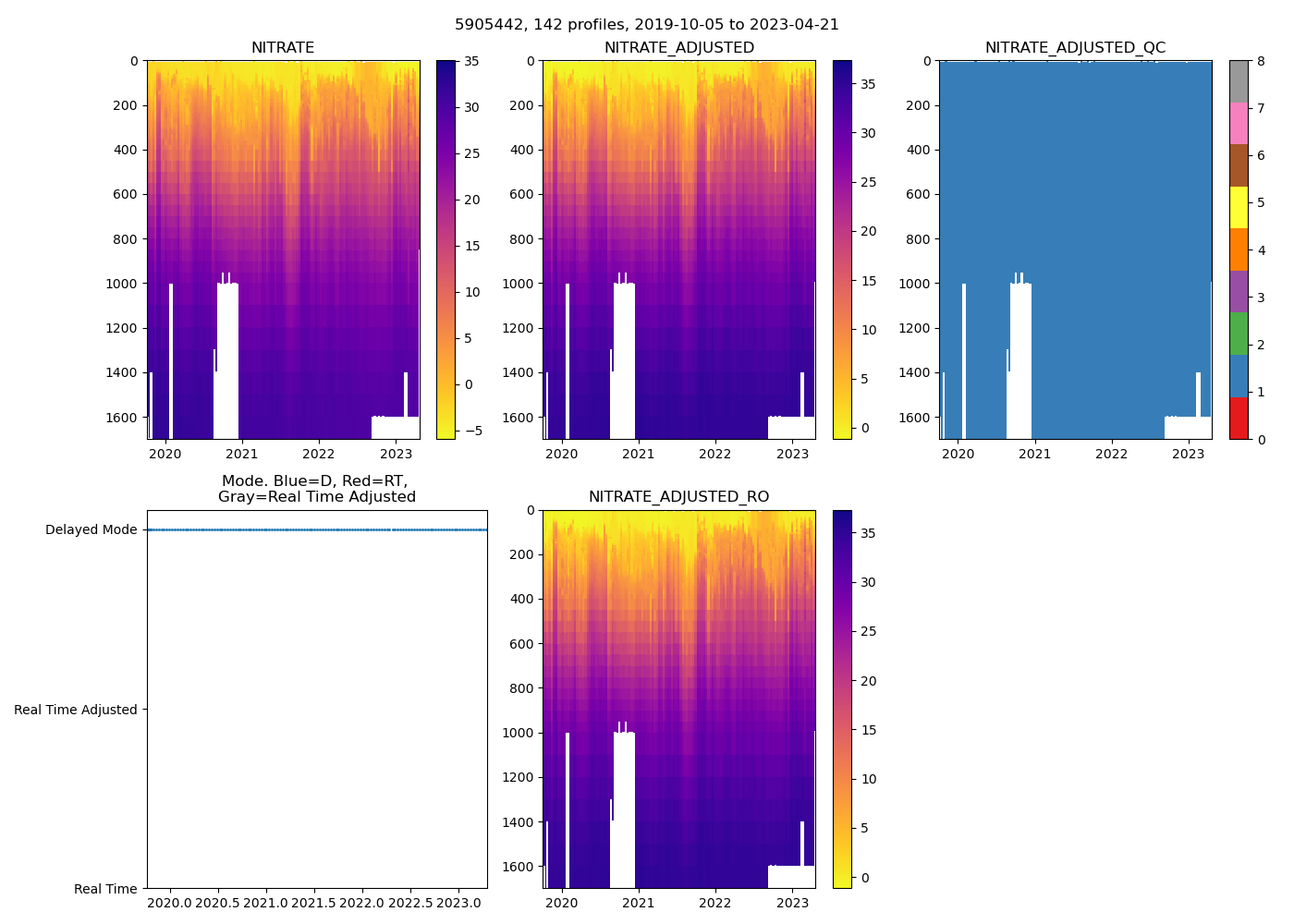
5905442: Argo Australia (2019-10-05T09:23 to 2023-04-21T05:23)
142 profiles completed
Individual float file download: BGC_Argo_Plus_Global

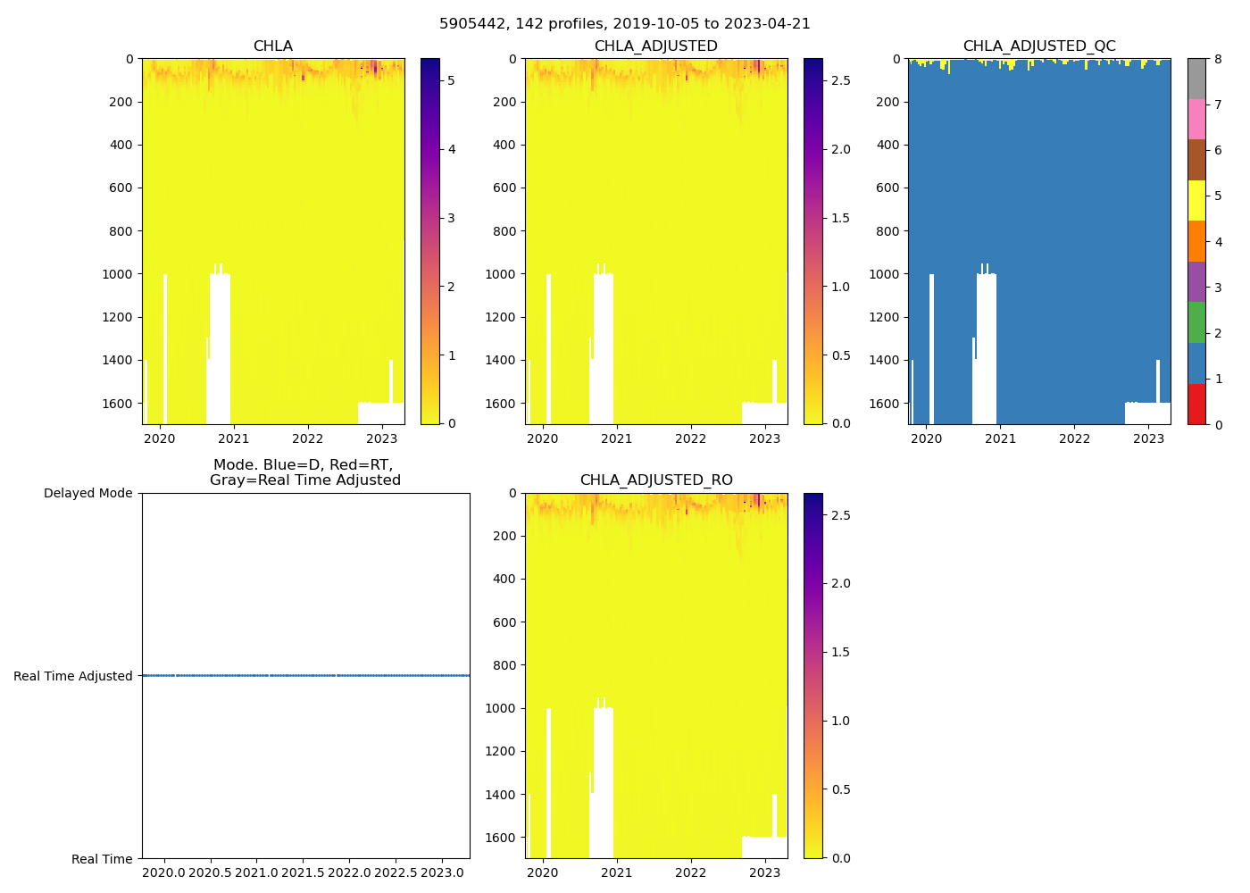
5905442: Argo Australia (2019-10-05T09:23 to 2023-04-21T05:23)
142 profiles completed
Individual float file download: BGC_Argo_Plus_Global
