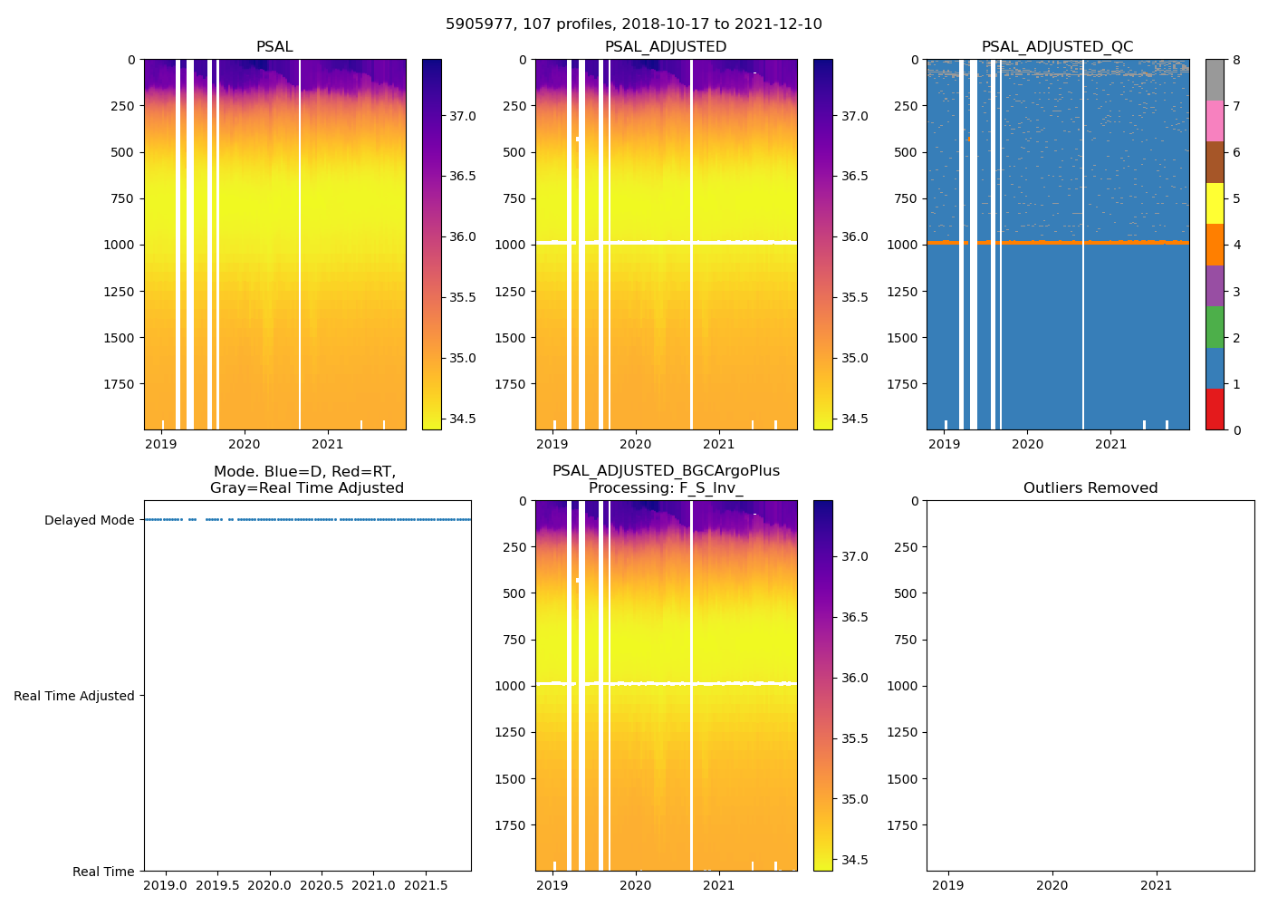
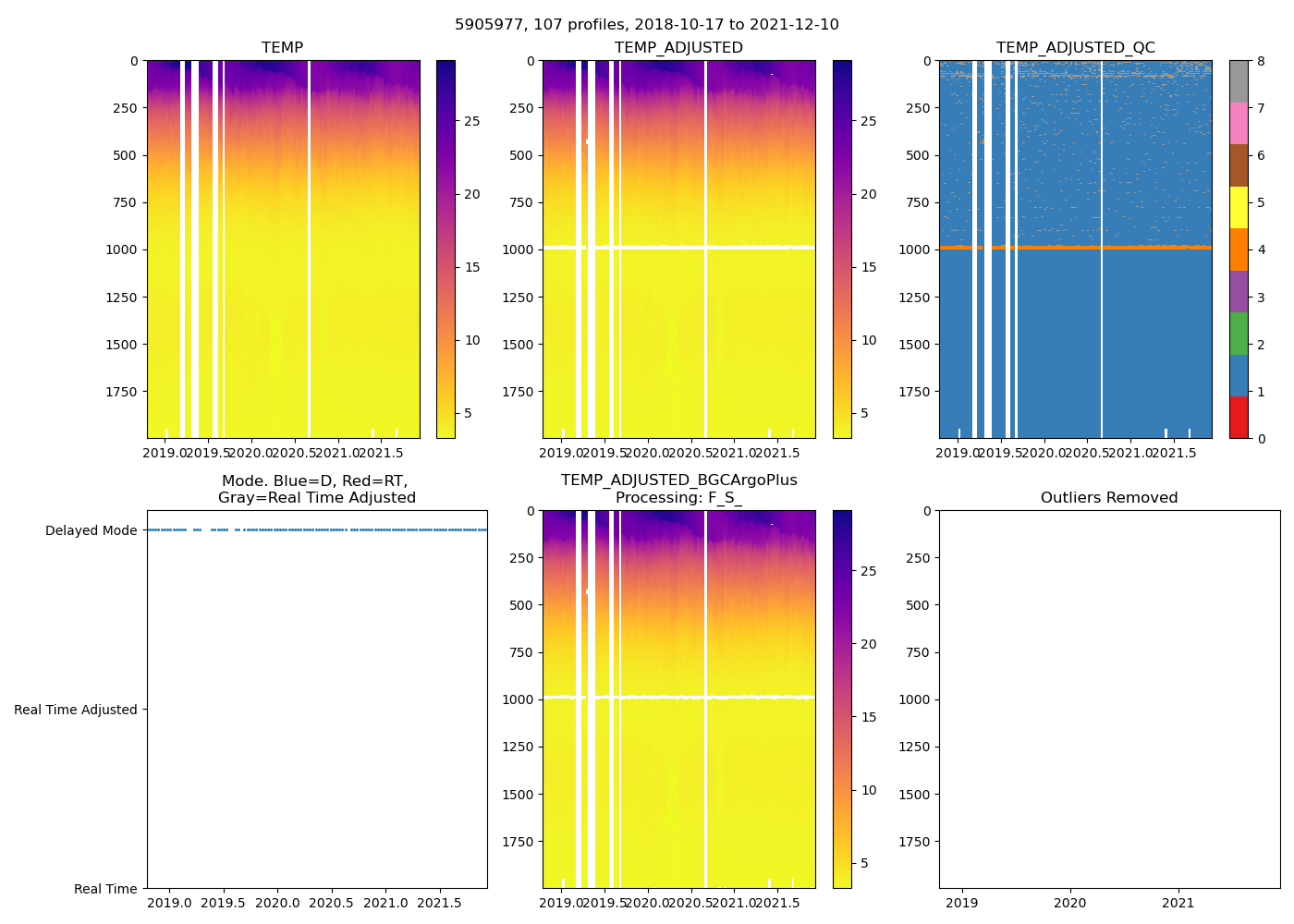
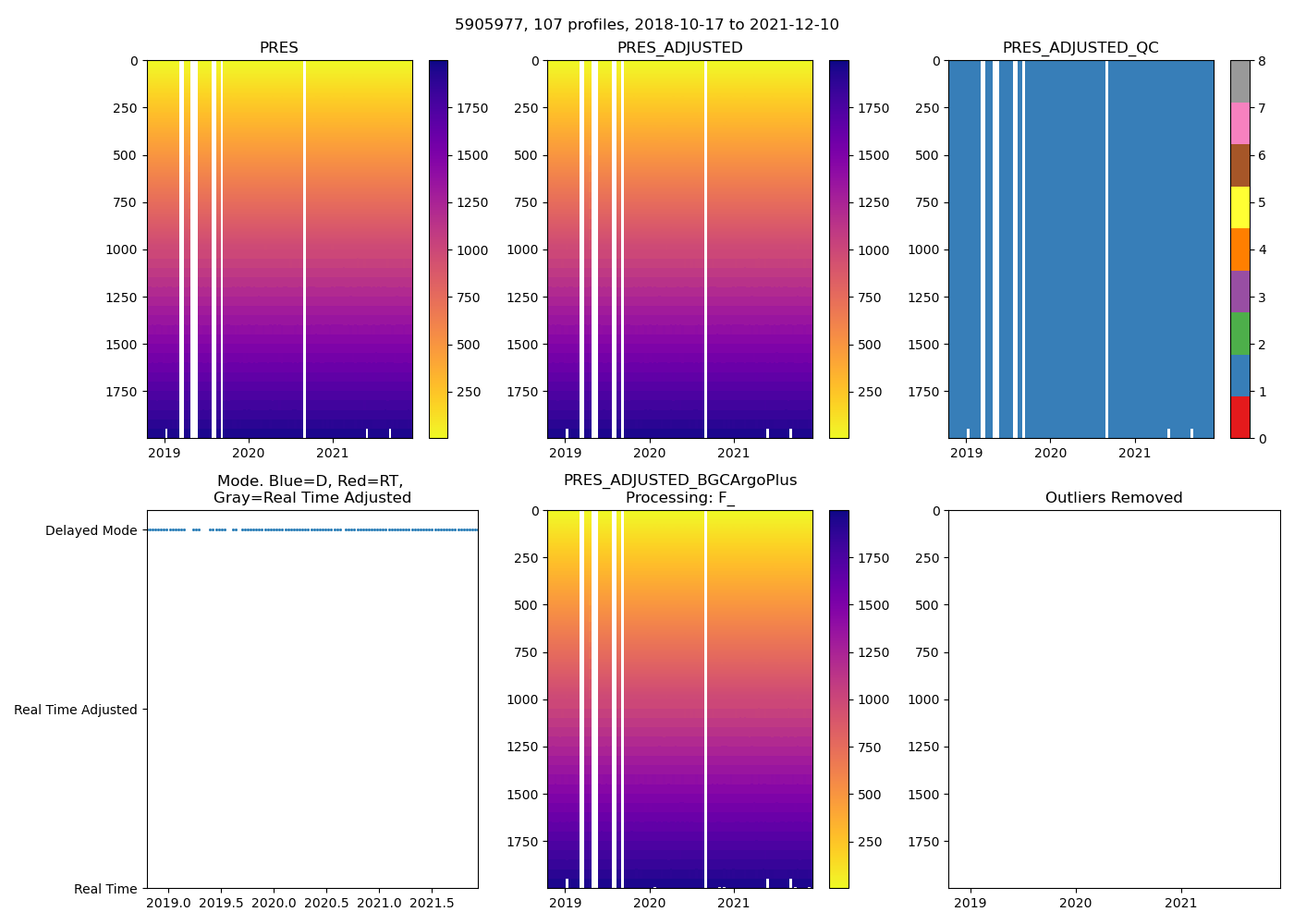
5905977: UW, Argo (2018-10-17T01:33 to 2021-12-10T01:55)
107 profiles completed
Individual float file download: BGC_Argo_Plus_Global
img-png img-png img-png img-png img-png