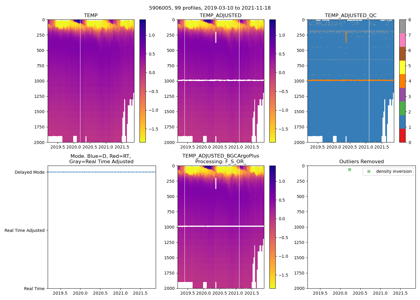
5906005: UW, SOCCOM, Argo equivalent (2019-03-10T08:08 to 2021-11-18T05:28)
99 profiles completed
Individual float file download: BGC_Argo_Plus_Global

5906005: UW, SOCCOM, Argo equivalent (2019-03-10T08:08 to 2021-11-18T05:28)
99 profiles completed
Individual float file download: BGC_Argo_Plus_Global
