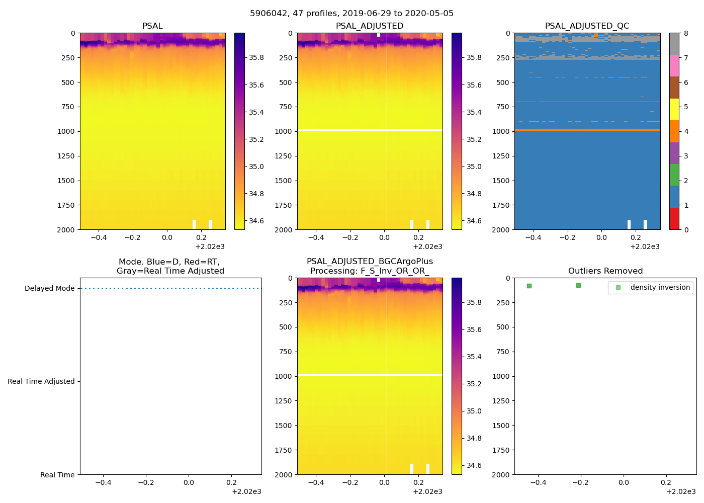
5906042: UW, SOCCOM, Argo equivalent (2019-06-29T21:24 to 2020-05-05T09:28)
47 profiles completed
Individual float file download: BGC_Argo_Plus_Global

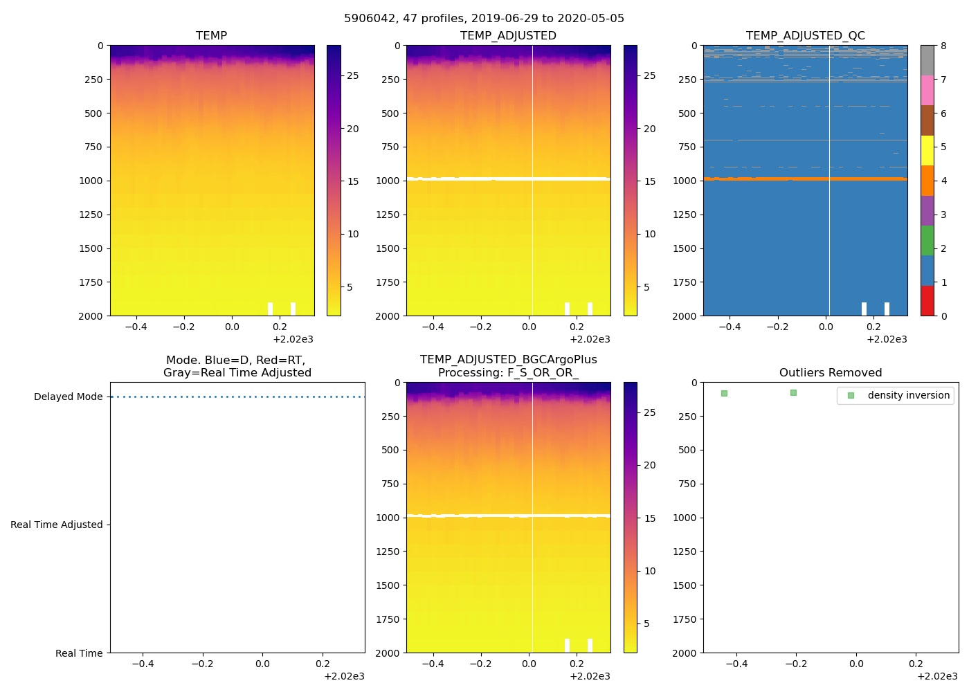
5906042: UW, SOCCOM, Argo equivalent (2019-06-29T21:24 to 2020-05-05T09:28)
47 profiles completed
Individual float file download: BGC_Argo_Plus_Global
