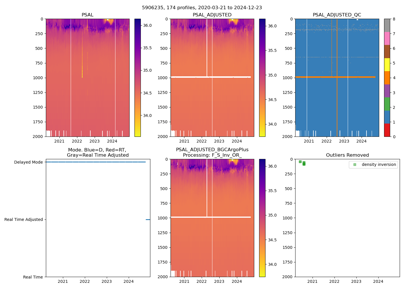
5906235: UW, TPOS, Argo eqivalent (2020-03-21T23:05 to 2024-12-23T07:54)
174 profiles completed
Individual float file download: BGC_Argo_Plus_Global

5906235: UW, TPOS, Argo eqivalent (2020-03-21T23:05 to 2024-12-23T07:54)
174 profiles completed
Individual float file download: BGC_Argo_Plus_Global
