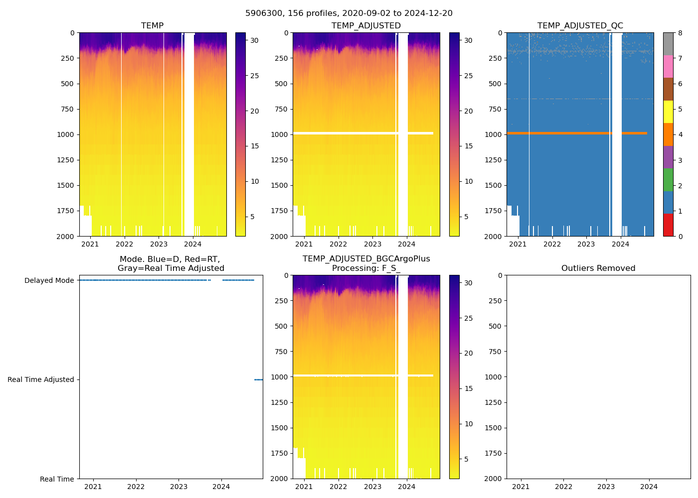
5906300: UW, TPOS, Argo eqivalent (2020-09-02T03:51 to 2024-12-20T05:28)
156 profiles completed
Individual float file download: BGC_Argo_Plus_Global

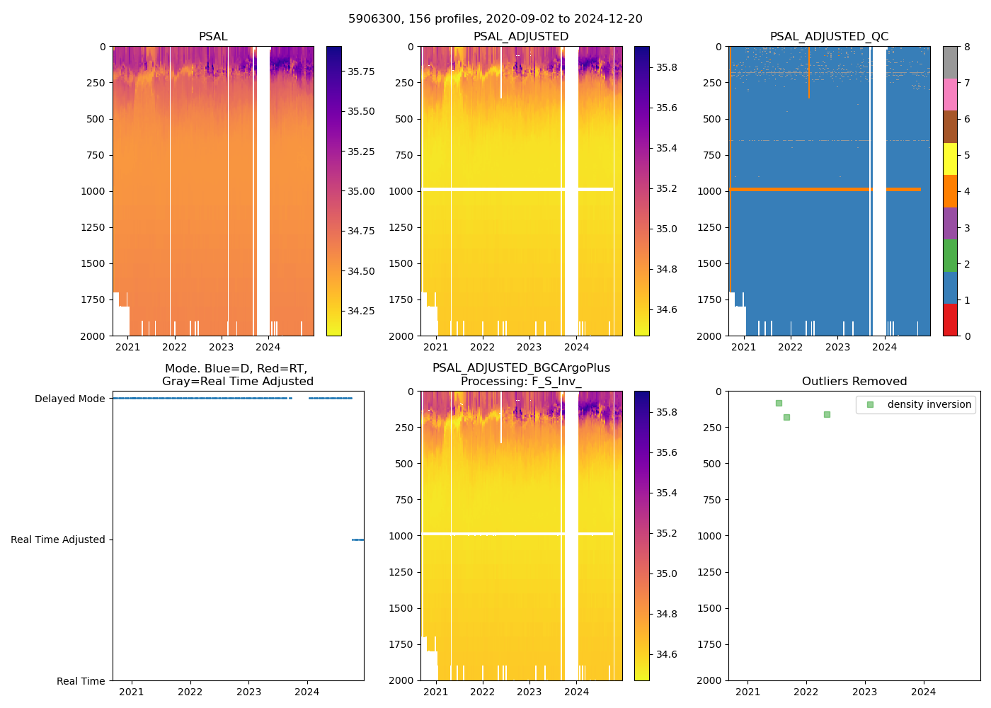
5906300: UW, TPOS, Argo eqivalent (2020-09-02T03:51 to 2024-12-20T05:28)
156 profiles completed
Individual float file download: BGC_Argo_Plus_Global
