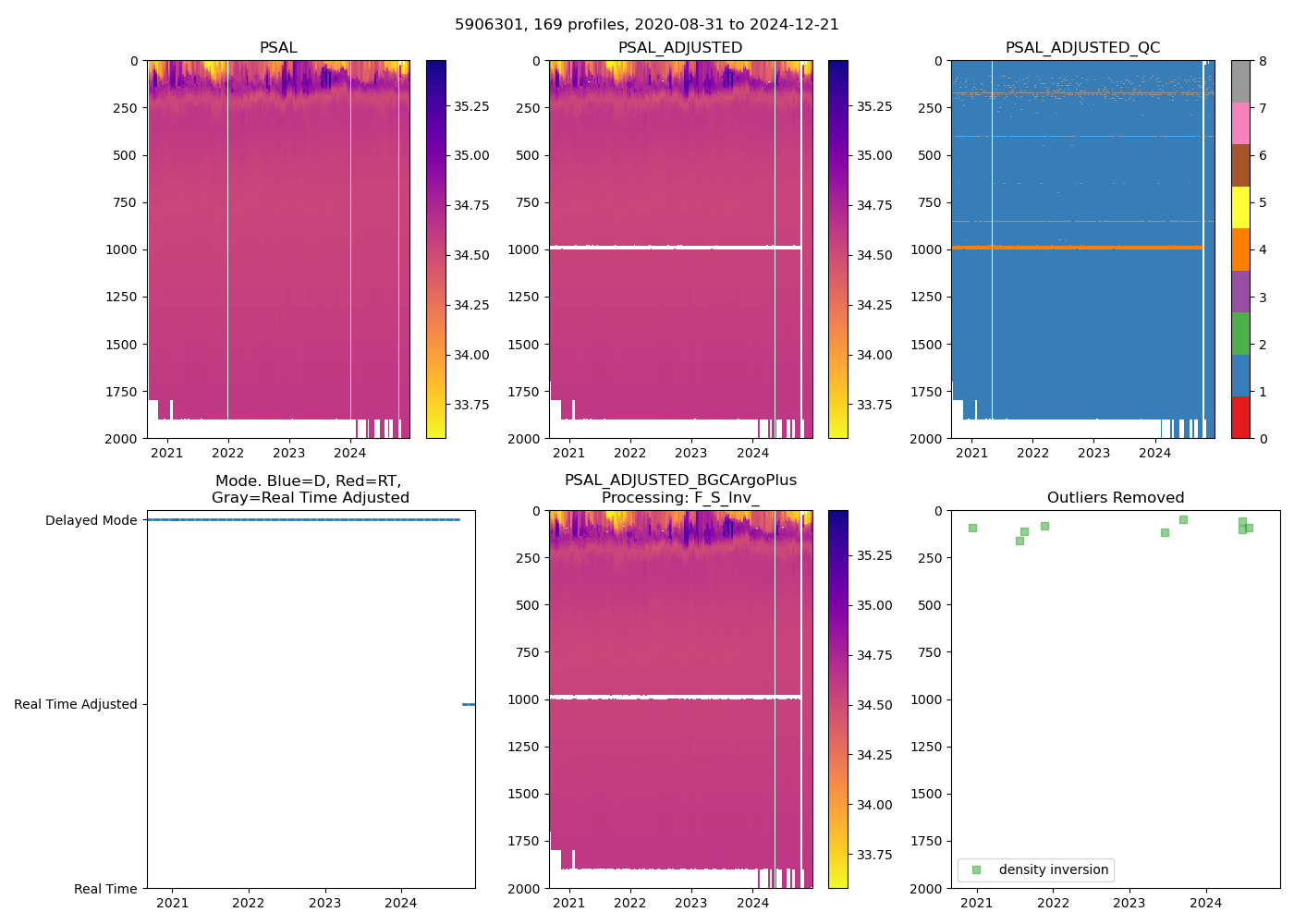
5906301: UW, TPOS, Argo eqivalent (2020-08-31T23:26 to 2024-12-21T19:52)
169 profiles completed
Individual float file download: BGC_Argo_Plus_Global

5906301: UW, TPOS, Argo eqivalent (2020-08-31T23:26 to 2024-12-21T19:52)
169 profiles completed
Individual float file download: BGC_Argo_Plus_Global
