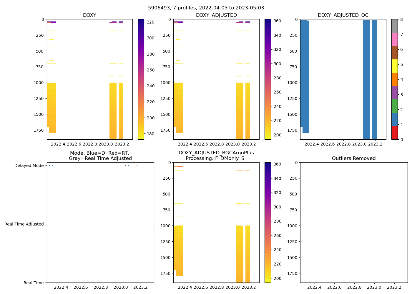
5906493: UW, SOCCOM (2022-04-05T14:00 to 2023-05-03T06:10)
7 profiles completed
Individual float file download: BGC_Argo_Plus_Global

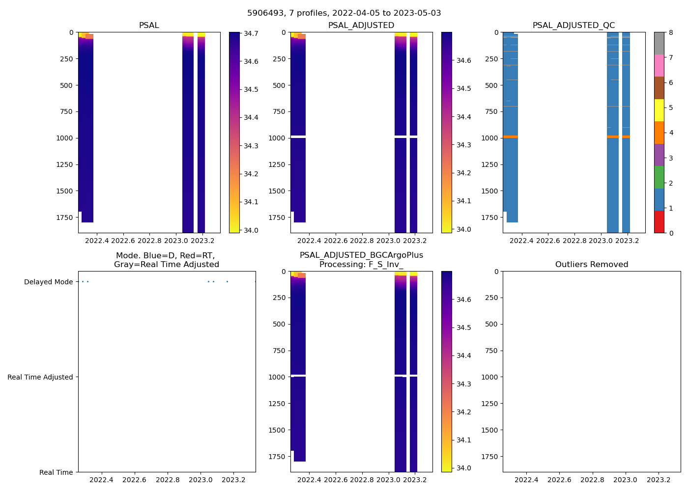
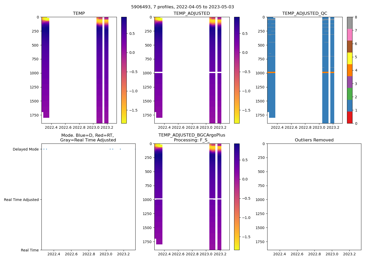
5906493: UW, SOCCOM (2022-04-05T14:00 to 2023-05-03T06:10)
7 profiles completed
Individual float file download: BGC_Argo_Plus_Global
