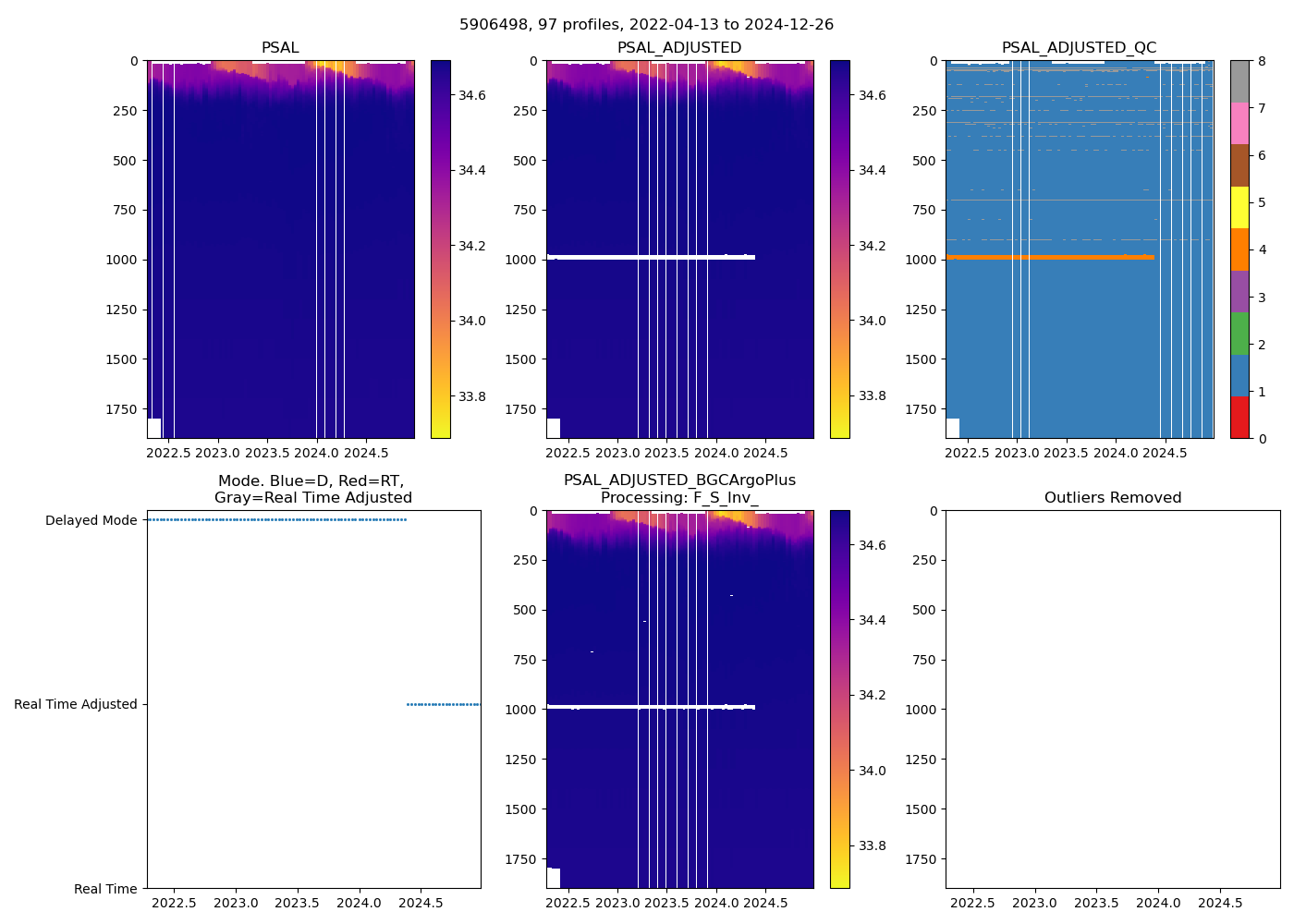
5906498: UW, SOCCOM (2022-04-13T13:02 to 2024-12-26T10:22)
97 profiles completed
Individual float file download: BGC_Argo_Plus_Global

5906498: UW, SOCCOM (2022-04-13T13:02 to 2024-12-26T10:22)
97 profiles completed
Individual float file download: BGC_Argo_Plus_Global
