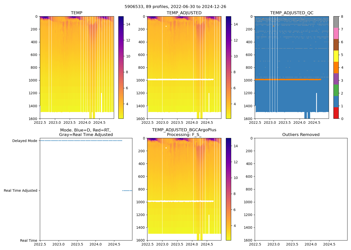
5906533: UW, GO-BGC (2022-06-30T17:05 to 2024-12-26T02:54)
89 profiles completed
Individual float file download: BGC_Argo_Plus_Global
img-png img-png img-png img-png img-png img-png img-png img-png img-png img-png img-png img-png img-png