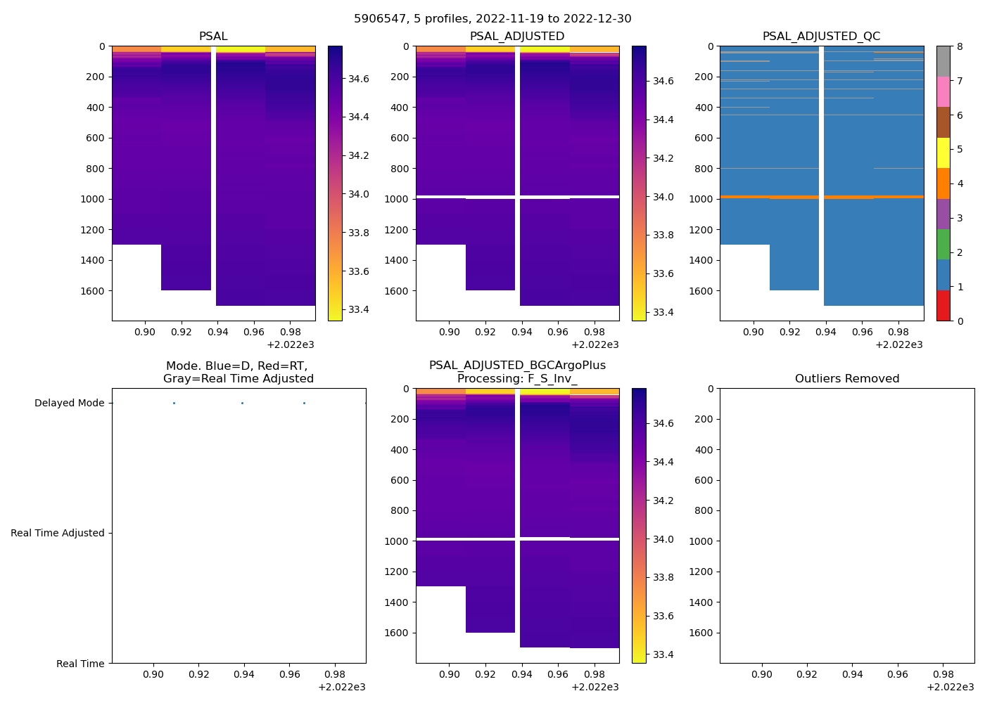
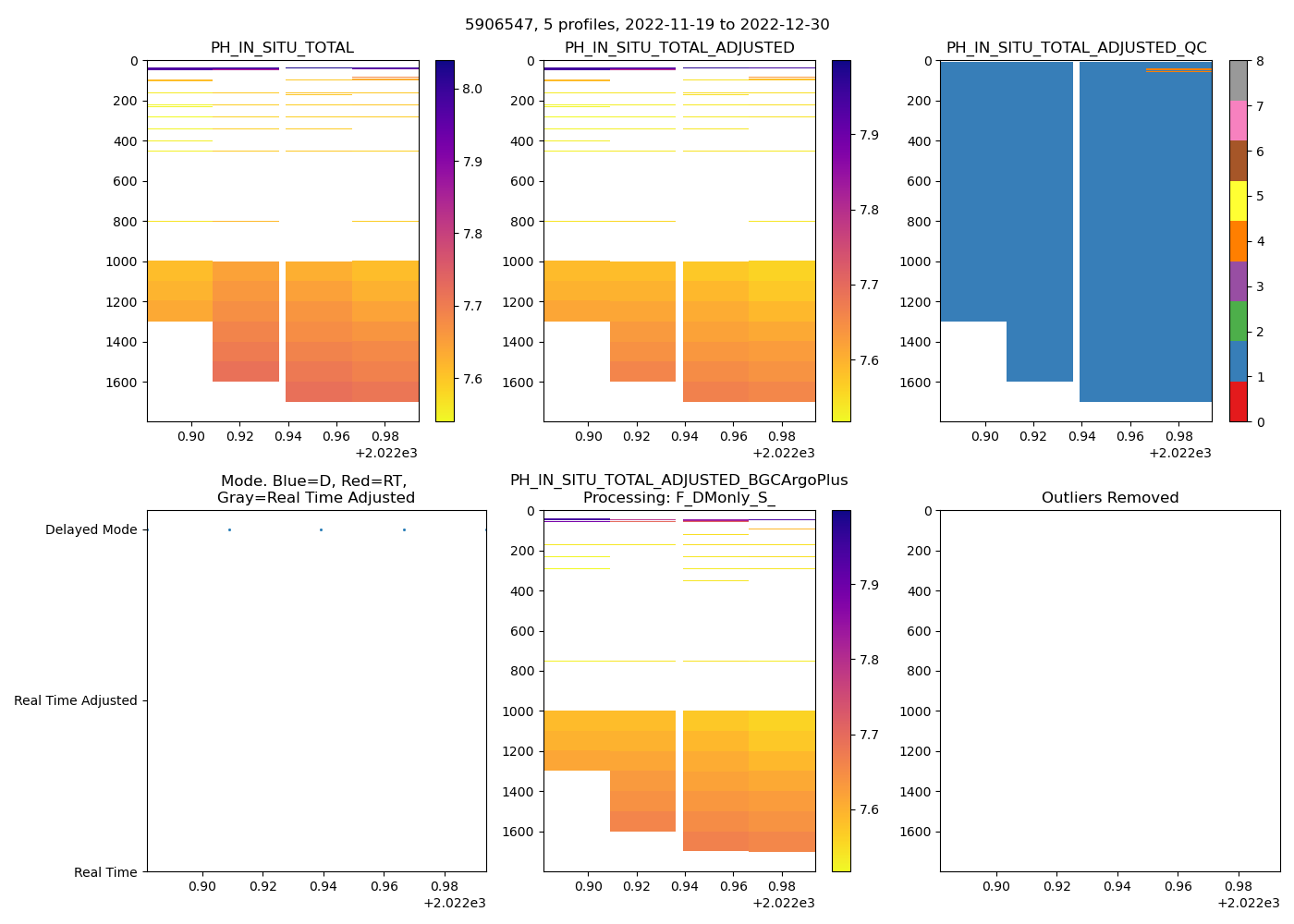
5906547: UW, GO-BGC (2022-11-19T10:55 to 2022-12-30T17:10)
5 profiles completed
Individual float file download: BGC_Argo_Plus_Global

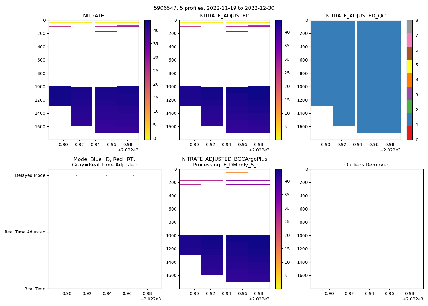
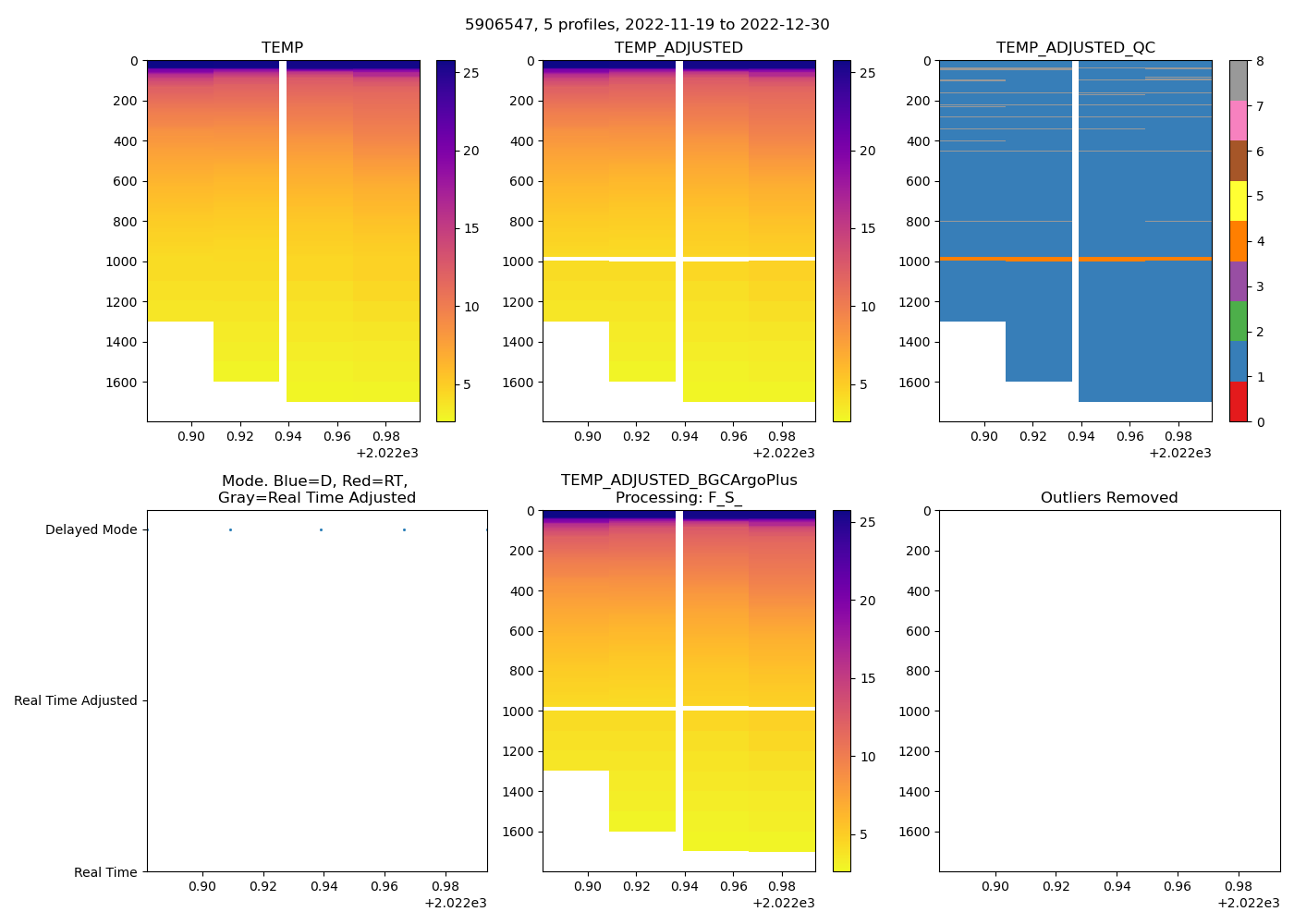
5906547: UW, GO-BGC (2022-11-19T10:55 to 2022-12-30T17:10)
5 profiles completed
Individual float file download: BGC_Argo_Plus_Global
