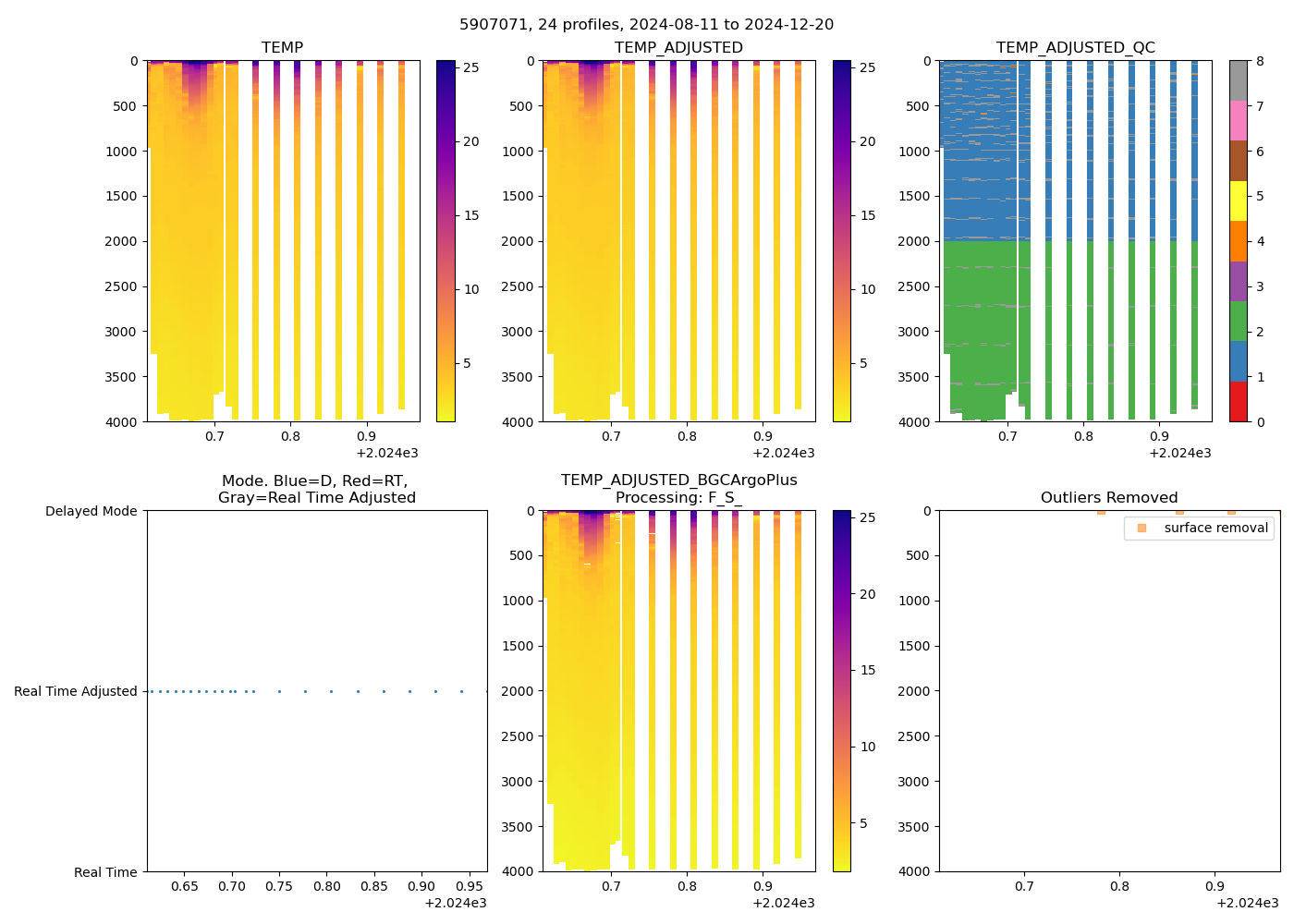
5907071: CROSSROAD (2024-08-11T22:43 to 2024-12-20T14:02)
24 profiles completed
Individual float file download: BGC_Argo_Plus_Global

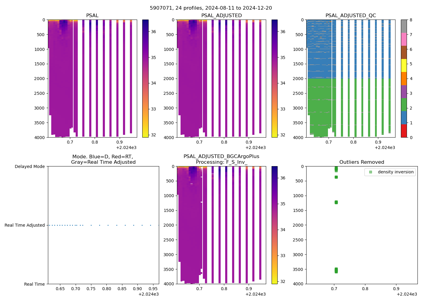
5907071: CROSSROAD (2024-08-11T22:43 to 2024-12-20T14:02)
24 profiles completed
Individual float file download: BGC_Argo_Plus_Global
