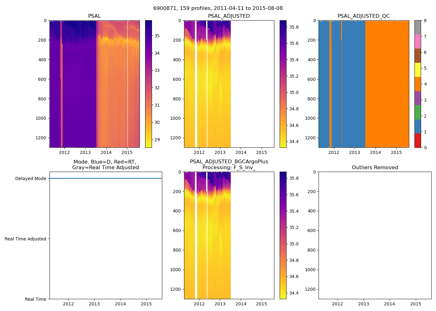
6900871: IFM (2011-04-11T06:22 to 2015-08-08T08:53)
159 profiles completed
Individual float file download: BGC_Argo_Plus_Global

6900871: IFM (2011-04-11T06:22 to 2015-08-08T08:53)
159 profiles completed
Individual float file download: BGC_Argo_Plus_Global
