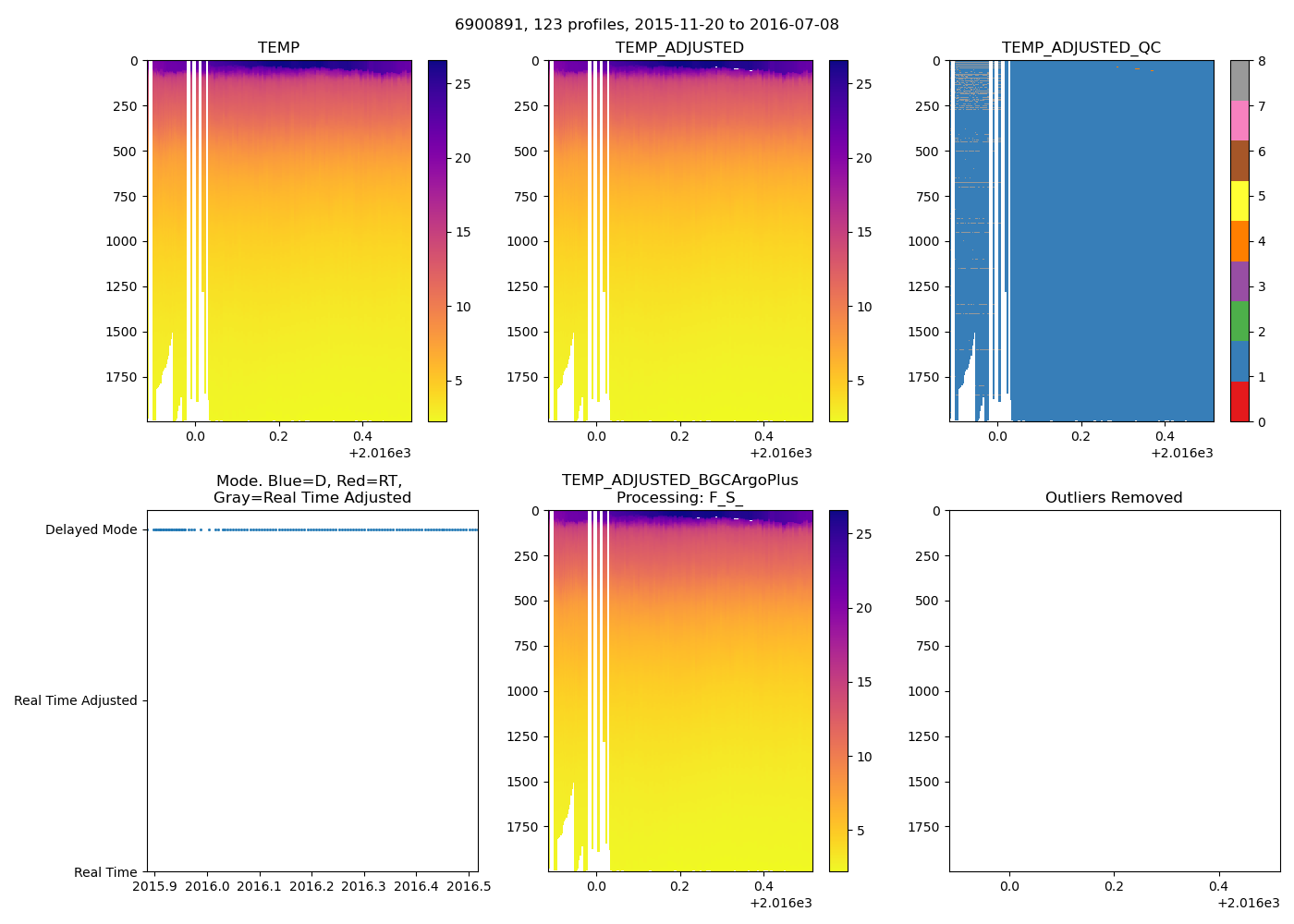
6900891: E-AIMS (2015-11-20T18:44 to 2016-07-08T18:43)
123 profiles completed
Individual float file download: BGC_Argo_Plus_Global

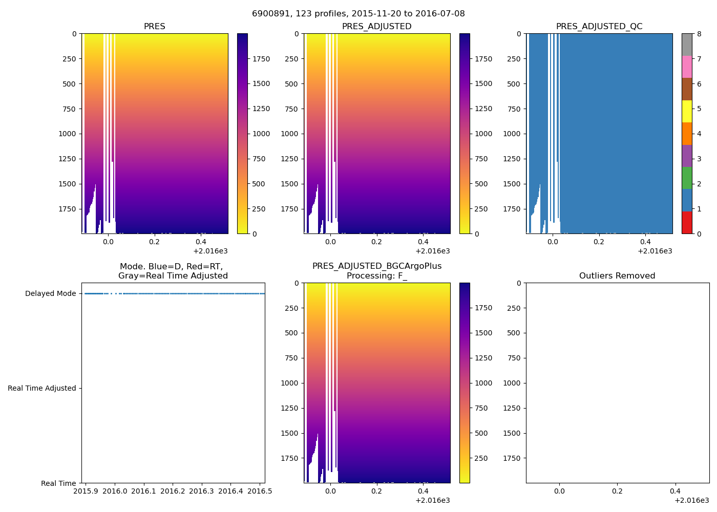
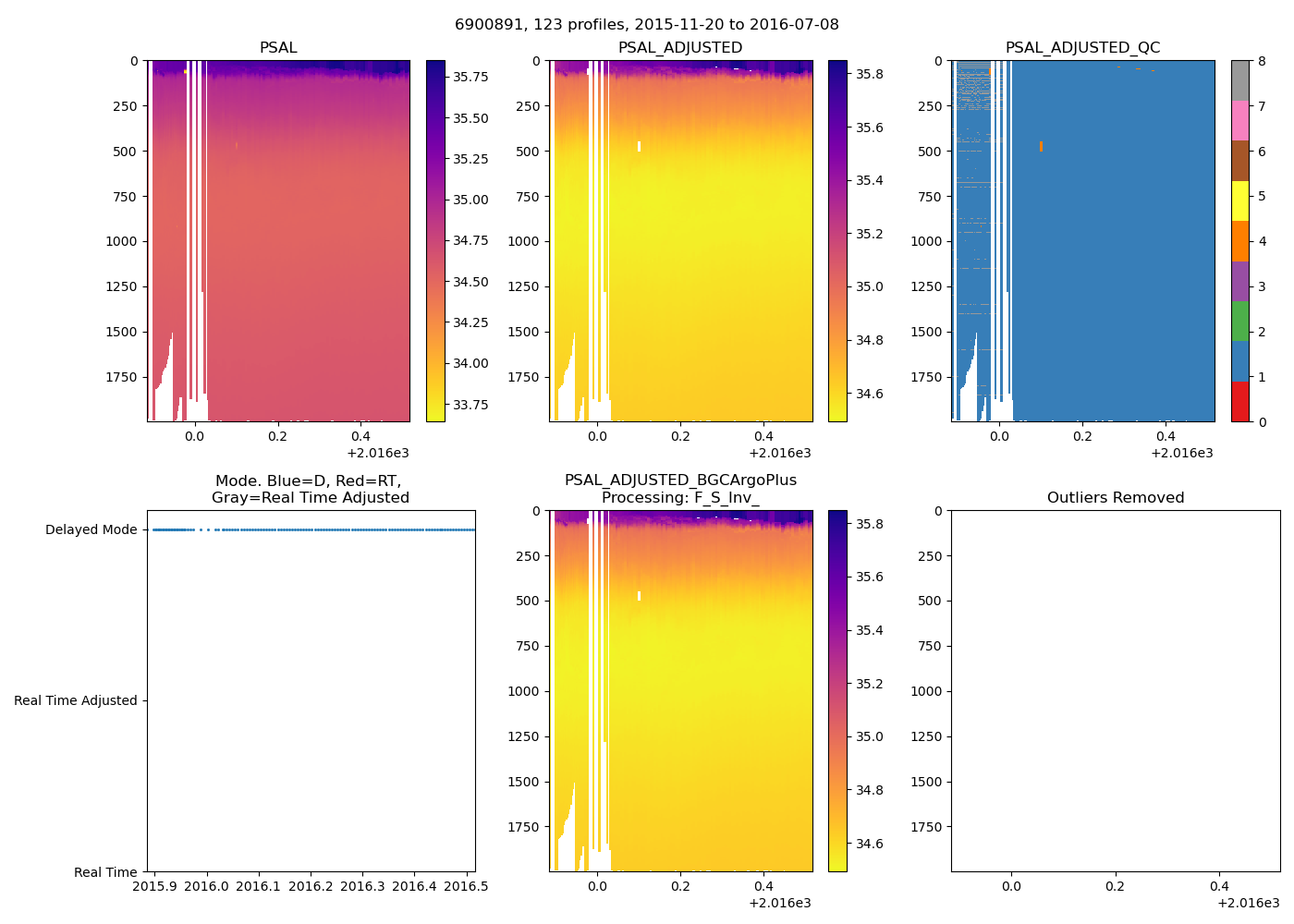
6900891: E-AIMS (2015-11-20T18:44 to 2016-07-08T18:43)
123 profiles completed
Individual float file download: BGC_Argo_Plus_Global
