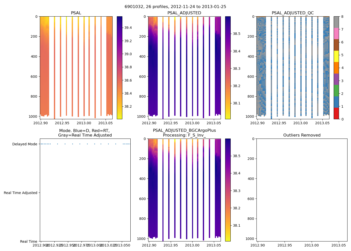
6901032: NAOS (2012-11-24T15:06 to 2013-01-25T11:56)
26 profiles completed
Individual float file download: BGC_Argo_Plus_Global

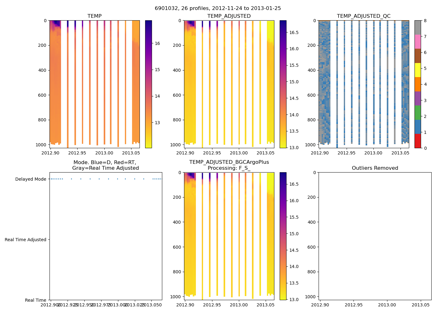
6901032: NAOS (2012-11-24T15:06 to 2013-01-25T11:56)
26 profiles completed
Individual float file download: BGC_Argo_Plus_Global
