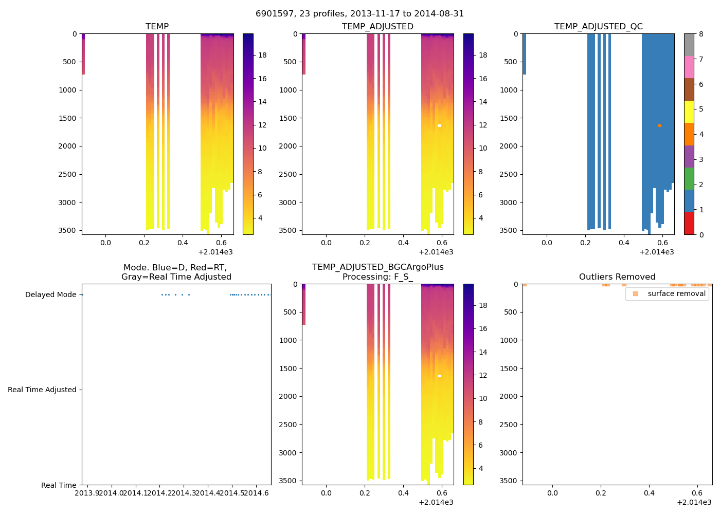
6901597: NAOS (2013-11-17T08:47 to 2014-08-31T06:47)
23 profiles completed
Individual float file download: BGC_Argo_Plus_Global

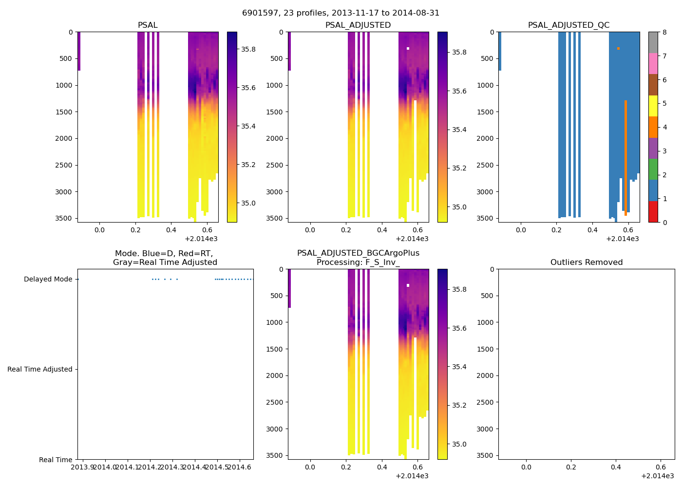
6901597: NAOS (2013-11-17T08:47 to 2014-08-31T06:47)
23 profiles completed
Individual float file download: BGC_Argo_Plus_Global
