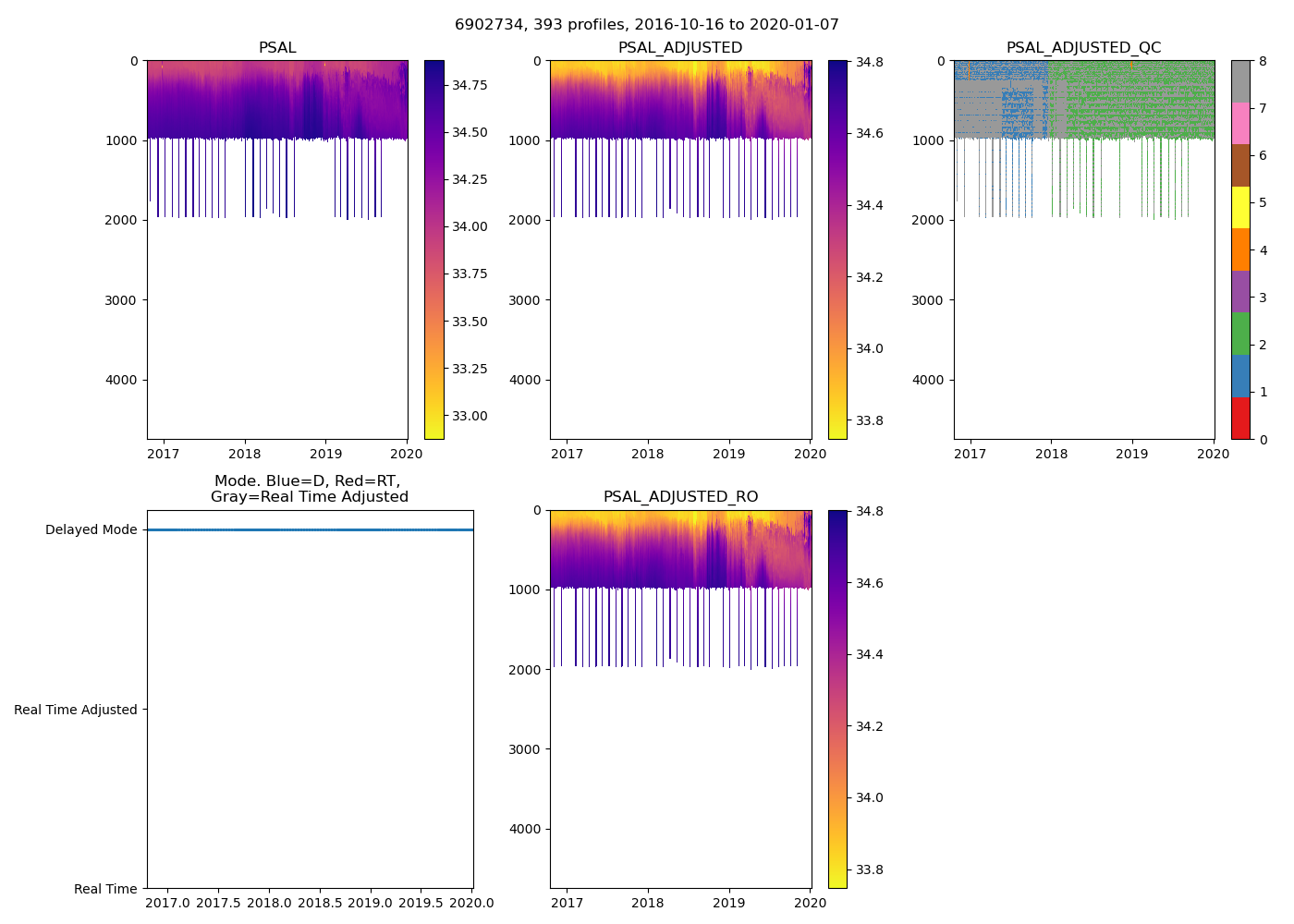
6902734: SOCLIM (2016-10-16T09:07 to 2020-01-07T04:57)
393 profiles completed
Individual float file download: BGC_Argo_Plus_Global

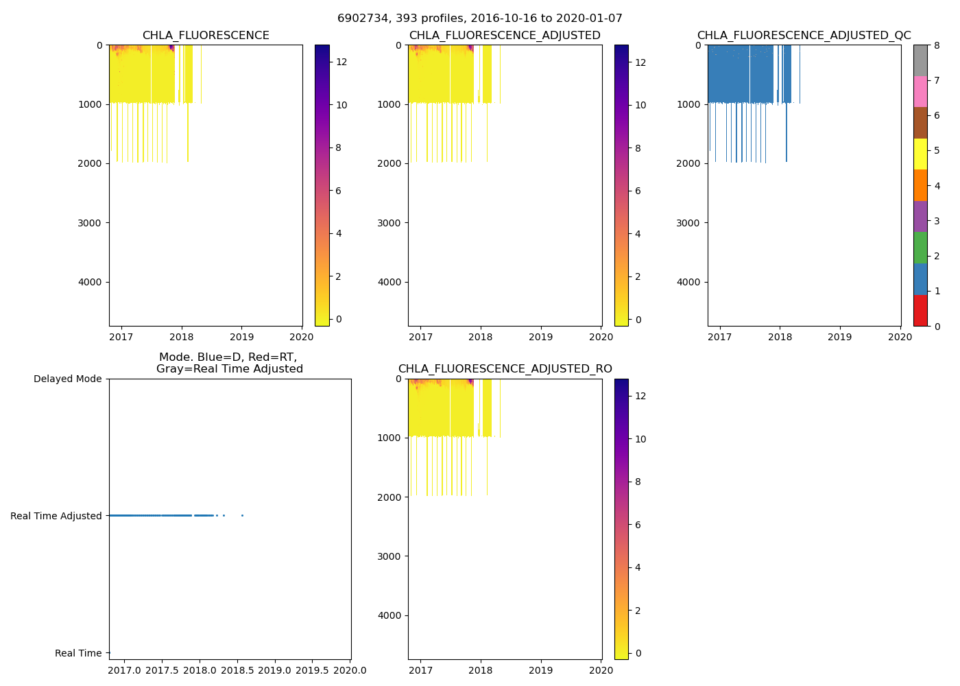
6902734: SOCLIM (2016-10-16T09:07 to 2020-01-07T04:57)
393 profiles completed
Individual float file download: BGC_Argo_Plus_Global
