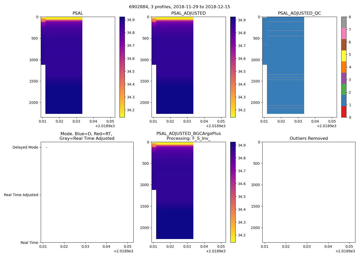
6902884: GMMC OBLADY (2018-11-29T15:48 to 2018-12-15T09:06)
3 profiles completed
Individual float file download: BGC_Argo_Plus_Global

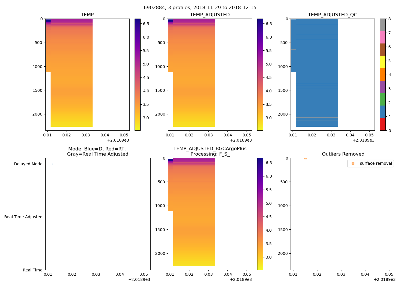
6902884: GMMC OBLADY (2018-11-29T15:48 to 2018-12-15T09:06)
3 profiles completed
Individual float file download: BGC_Argo_Plus_Global
