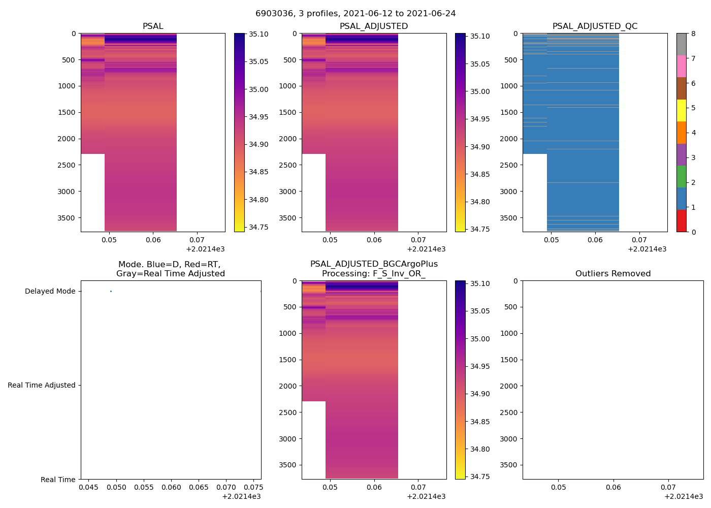
6903036: OVIDE (2021-06-12T15:05 to 2021-06-24T01:03)
3 profiles completed
Individual float file download: BGC_Argo_Plus_Global
img-png img-png img-png img-png img-png