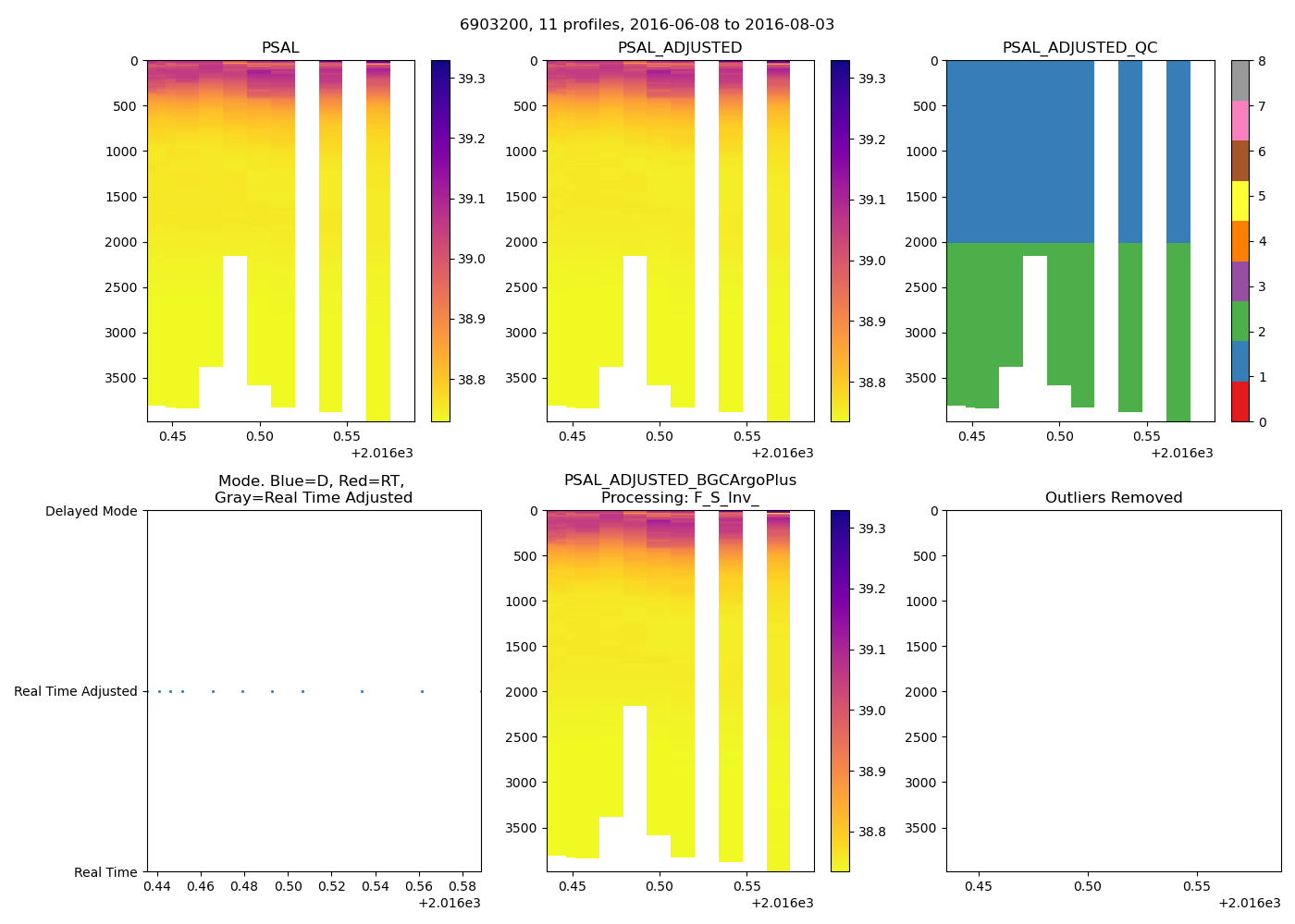
6903200: ARGO Italy (2016-06-08T08:20 to 2016-08-03T05:55)
11 profiles completed
Individual float file download: BGC_Argo_Plus_Global

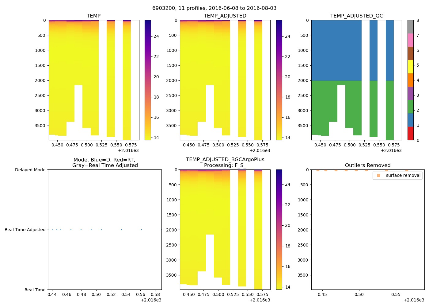
6903200: ARGO Italy (2016-06-08T08:20 to 2016-08-03T05:55)
11 profiles completed
Individual float file download: BGC_Argo_Plus_Global
