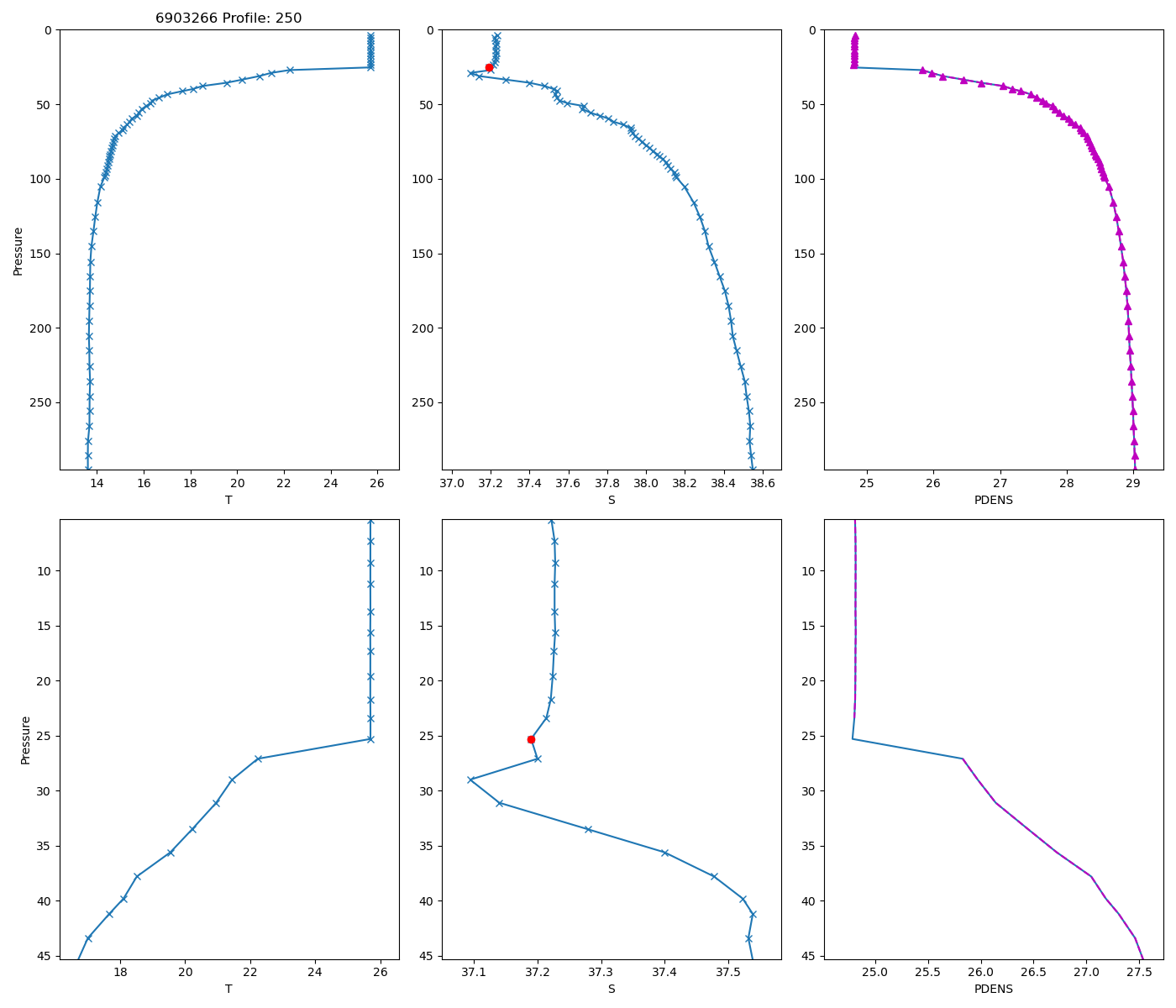
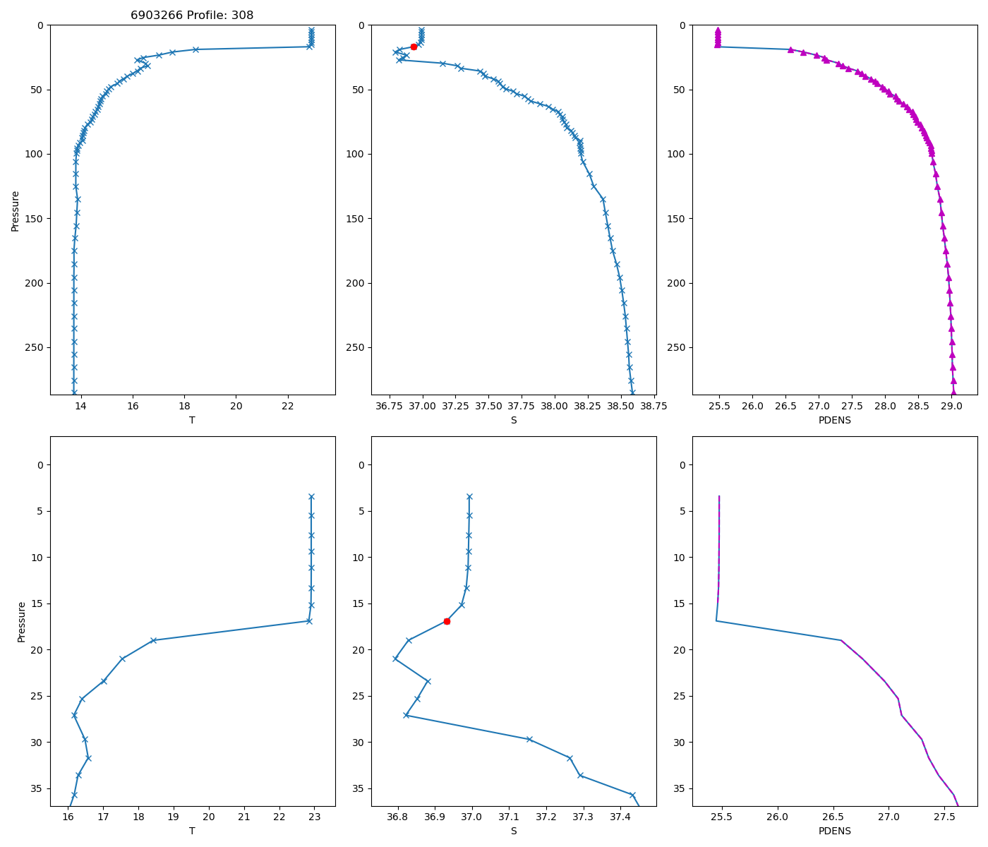
6903266: Argo Italy,CALYPSO 2019 (2019-04-05T14:07 to 2023-08-31T11:17)
465 profiles completed
Individual float file download: BGC_Argo_Plus_Global
img-png img-png img-png img-png img-png img-png img-png img-png img-png img-png