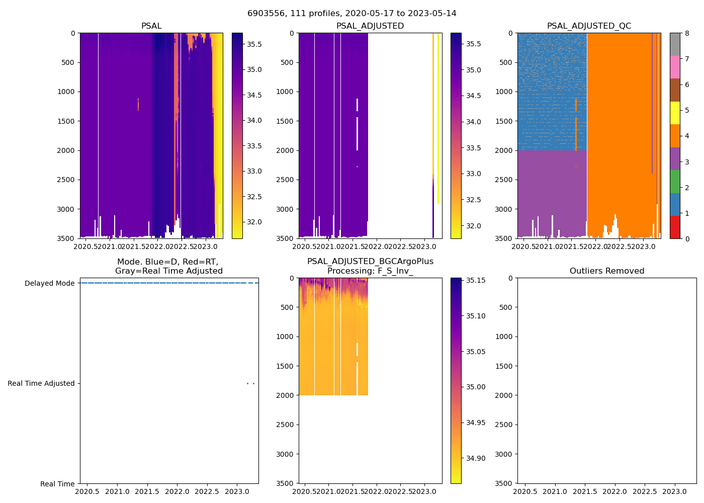
6903556: NorArgo2 (2020-05-17T08:02 to 2023-05-14T06:04)
111 profiles completed
Individual float file download: BGC_Argo_Plus_Global
img-png img-png img-png img-png img-png