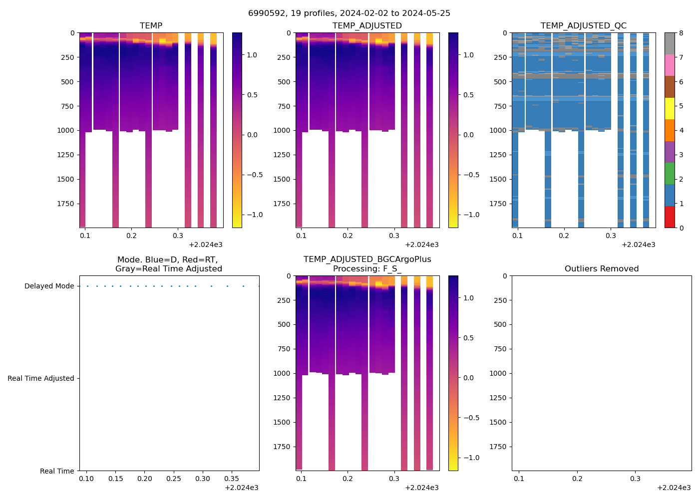
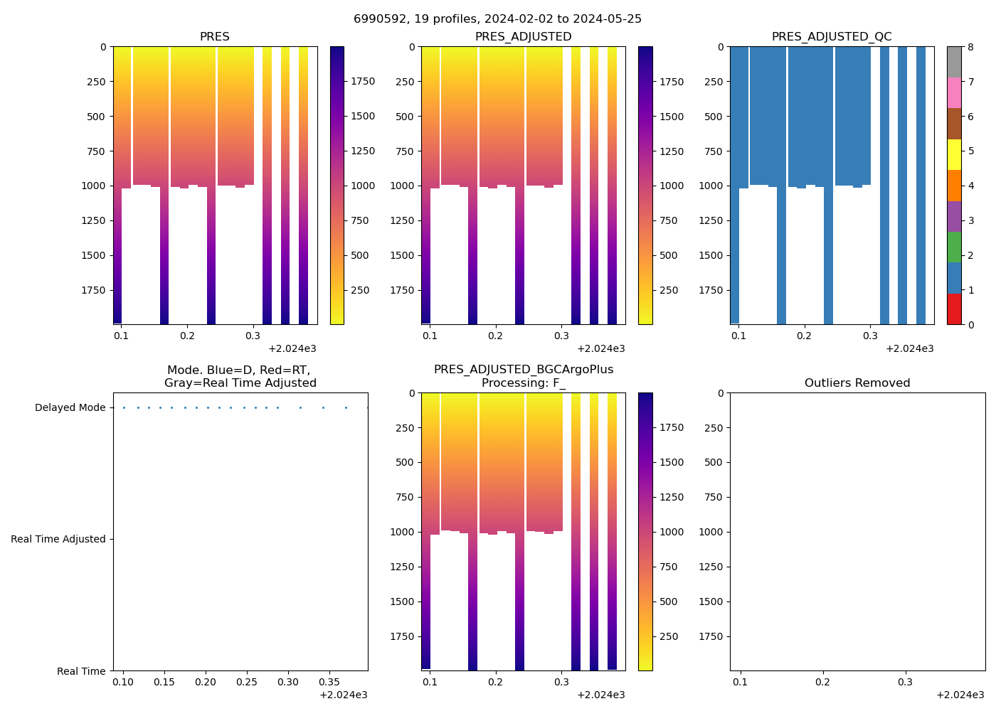
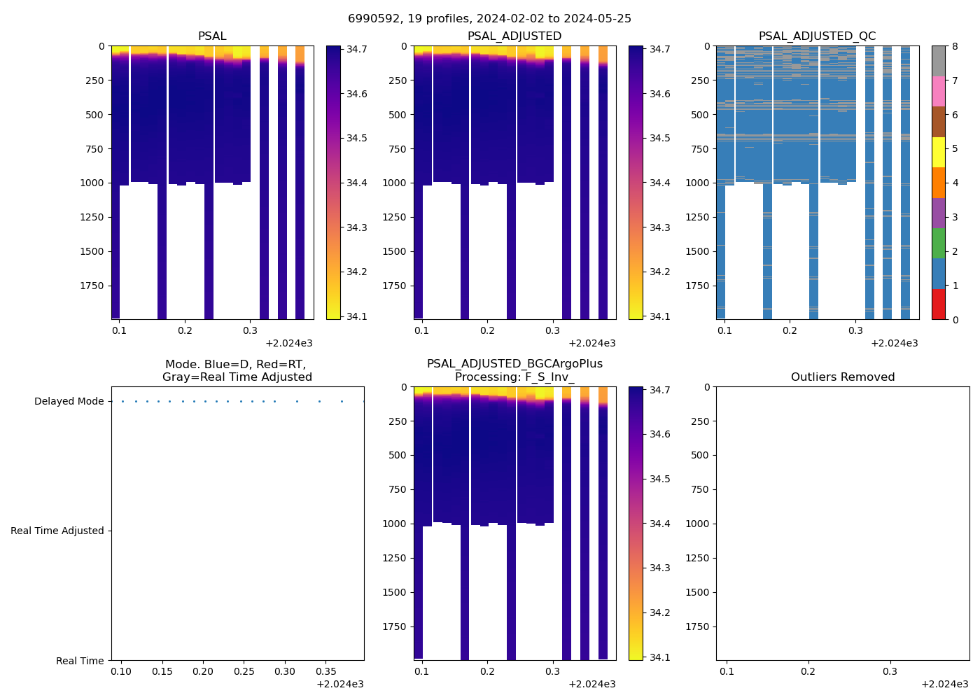
6990592: Argo-Germany (2024-02-02T10:54 to 2024-05-25T14:23)
19 profiles completed
Individual float file download: BGC_Argo_Plus_Global
img-png img-png img-png img-png img-png img-png img-png img-png img-png img-png img-png img-png img-png