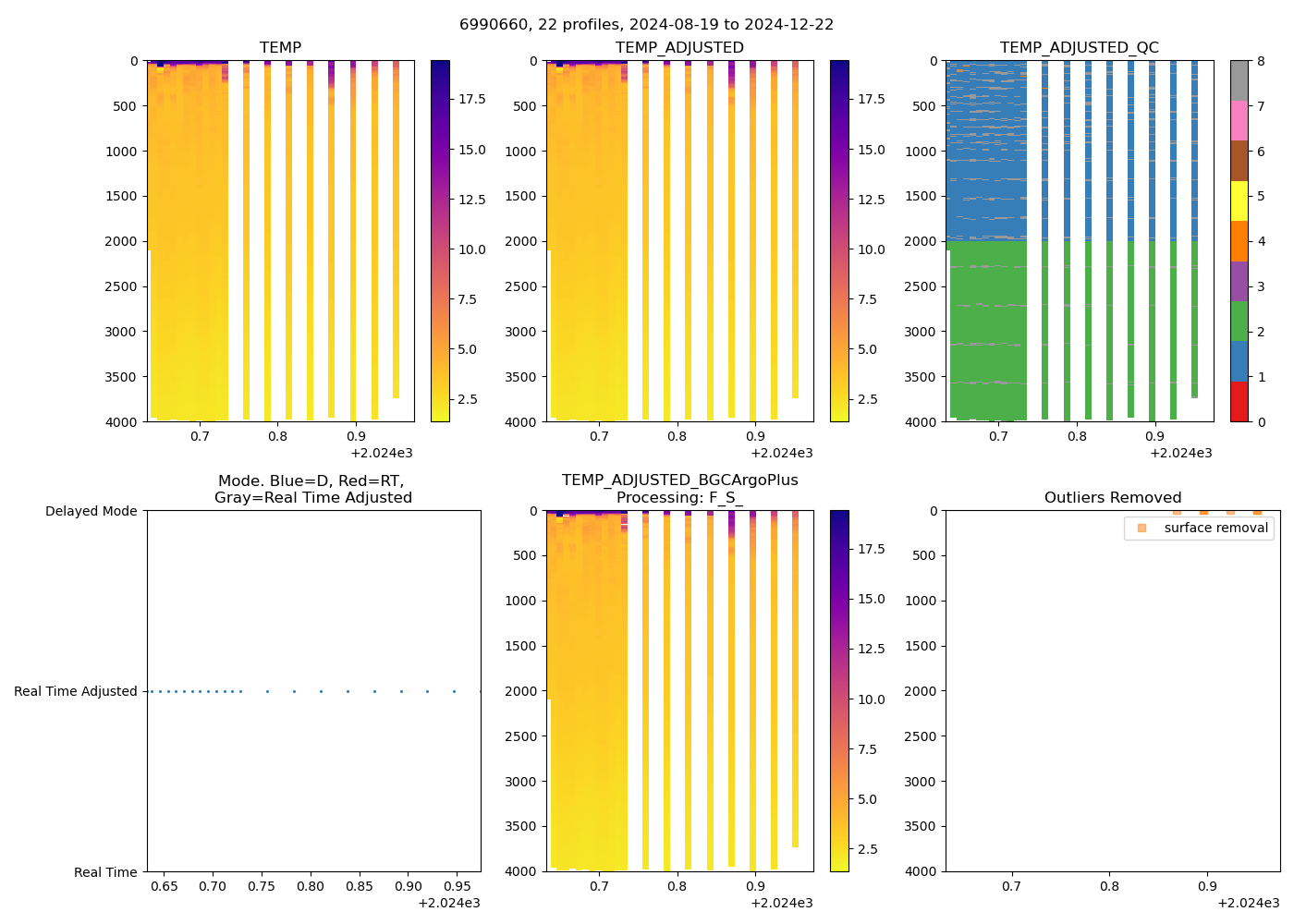
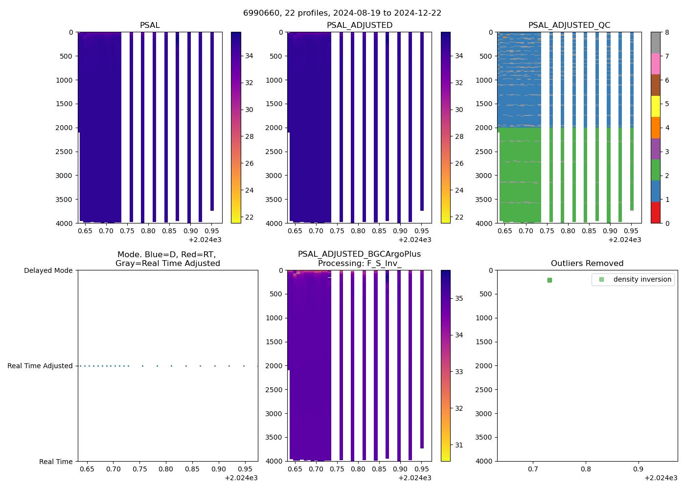
6990660: CROSSROAD (2024-08-19T15:31 to 2024-12-22T04:30)
22 profiles completed
Individual float file download: BGC_Argo_Plus_Global
img-png img-png img-png img-png img-png img-png