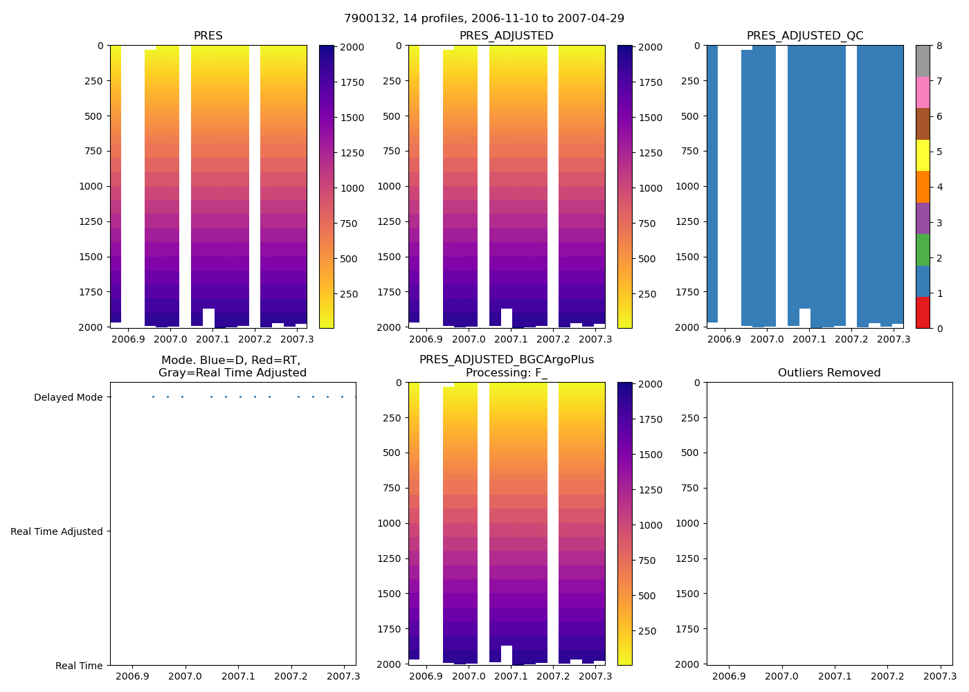
7900132: ARGO_AWI (2006-11-10T13:39 to 2007-04-29T13:44)
14 profiles completed
Individual float file download: BGC_Argo_Plus_Global

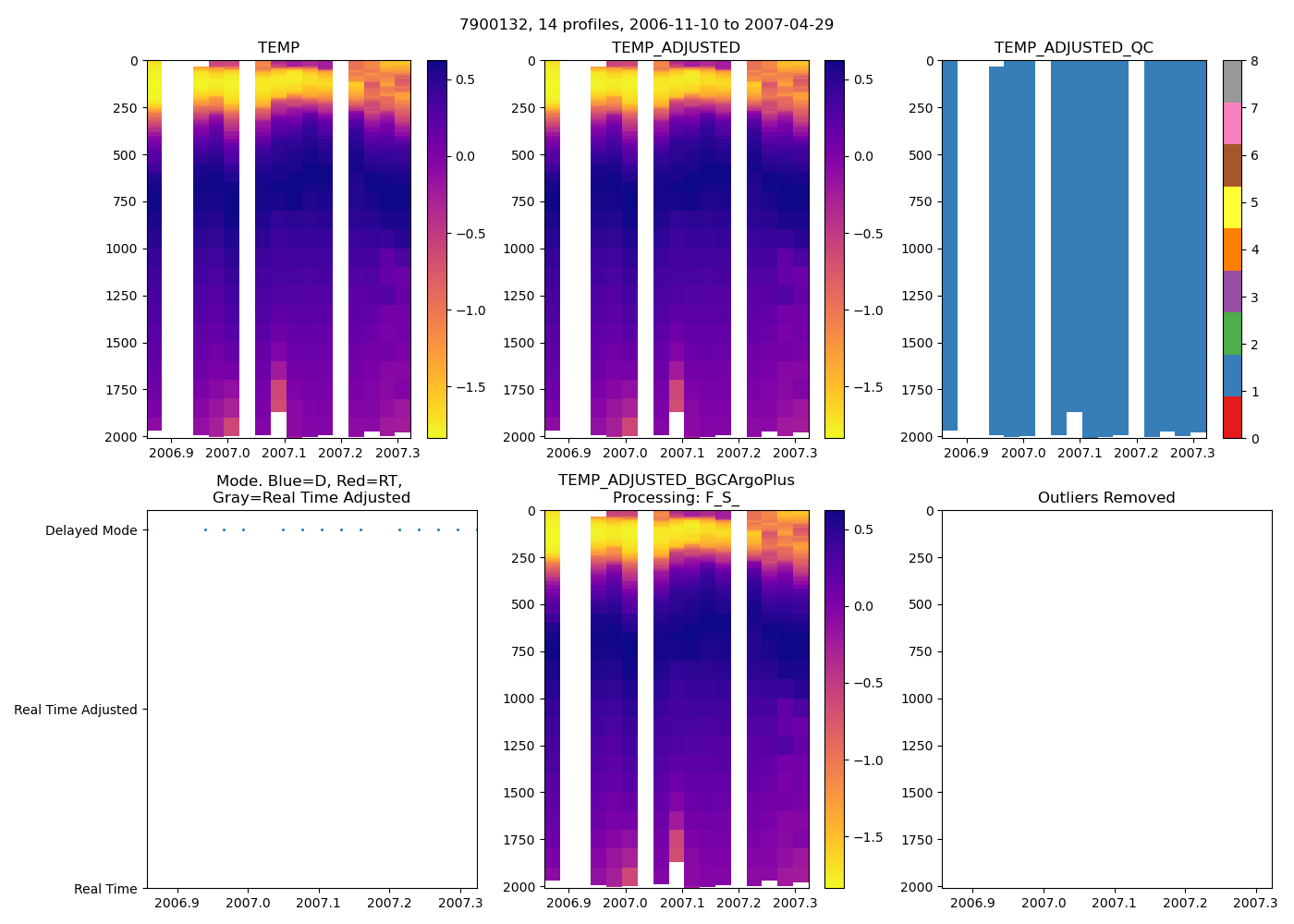
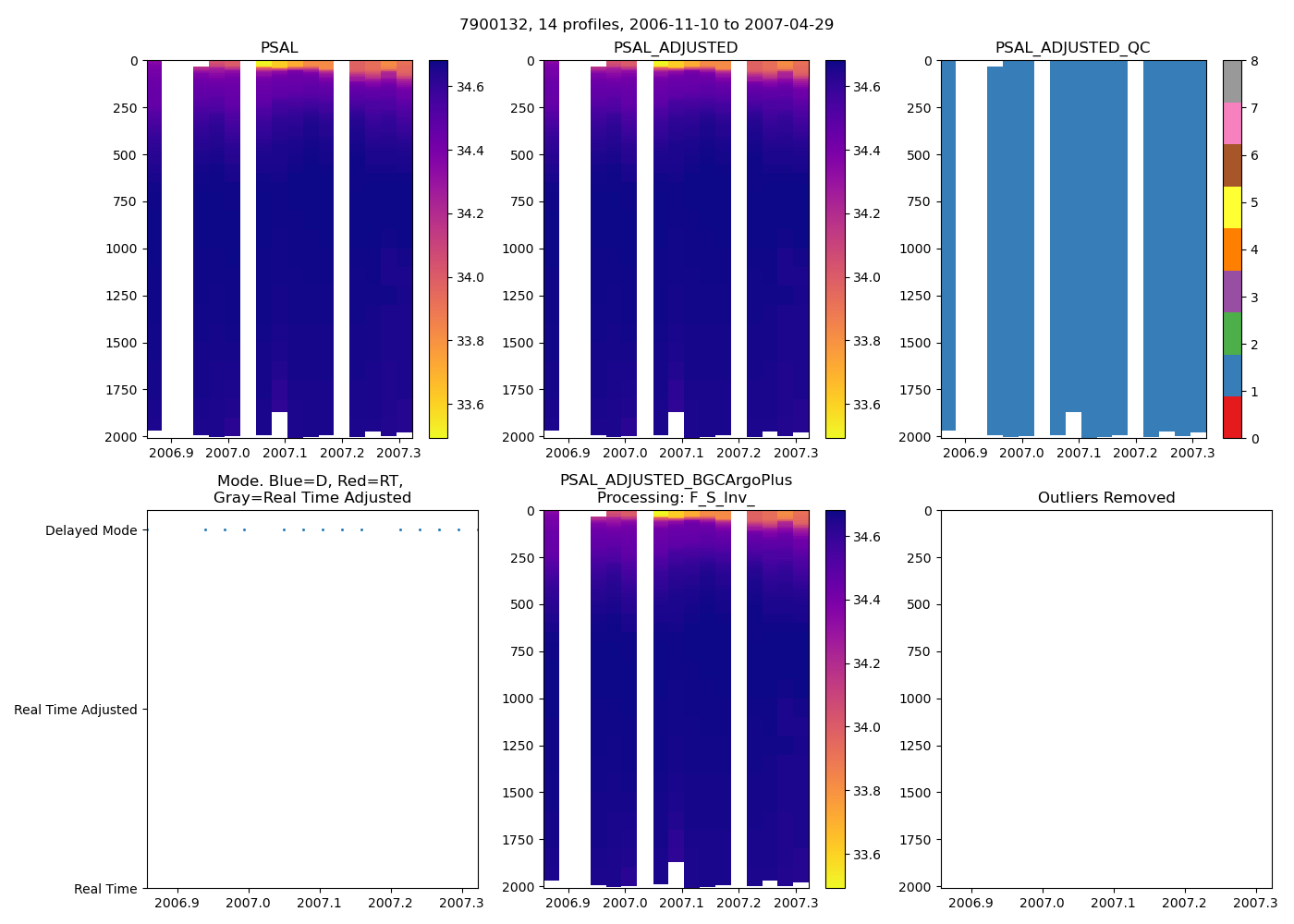
7900132: ARGO_AWI (2006-11-10T13:39 to 2007-04-29T13:44)
14 profiles completed
Individual float file download: BGC_Argo_Plus_Global
