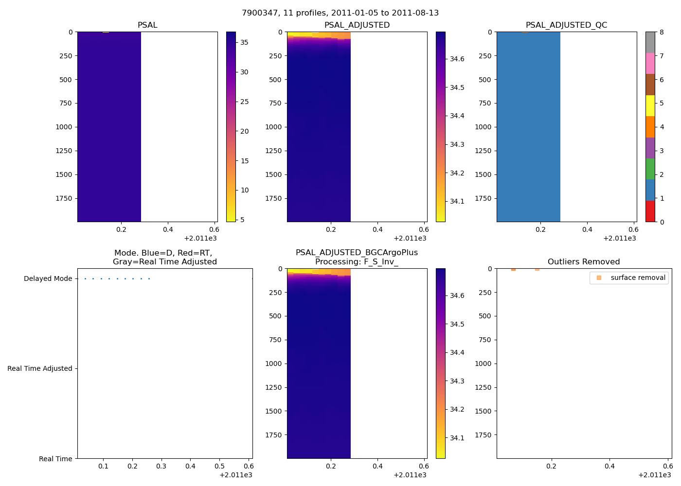
7900347: AWI (2011-01-05T19:21 to 2011-08-13T19:23)
11 profiles completed
Individual float file download: BGC_Argo_Plus_Global

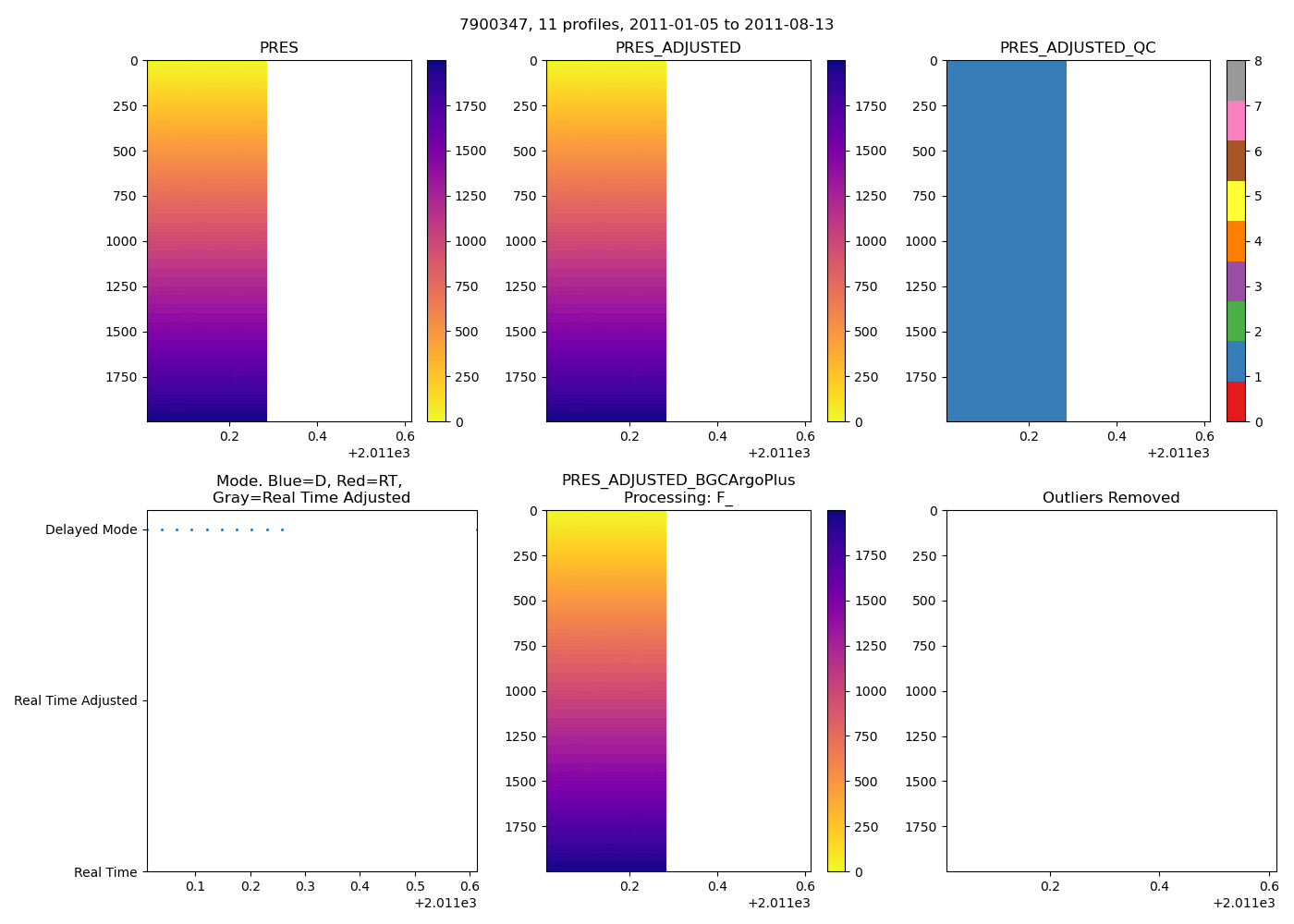
7900347: AWI (2011-01-05T19:21 to 2011-08-13T19:23)
11 profiles completed
Individual float file download: BGC_Argo_Plus_Global
