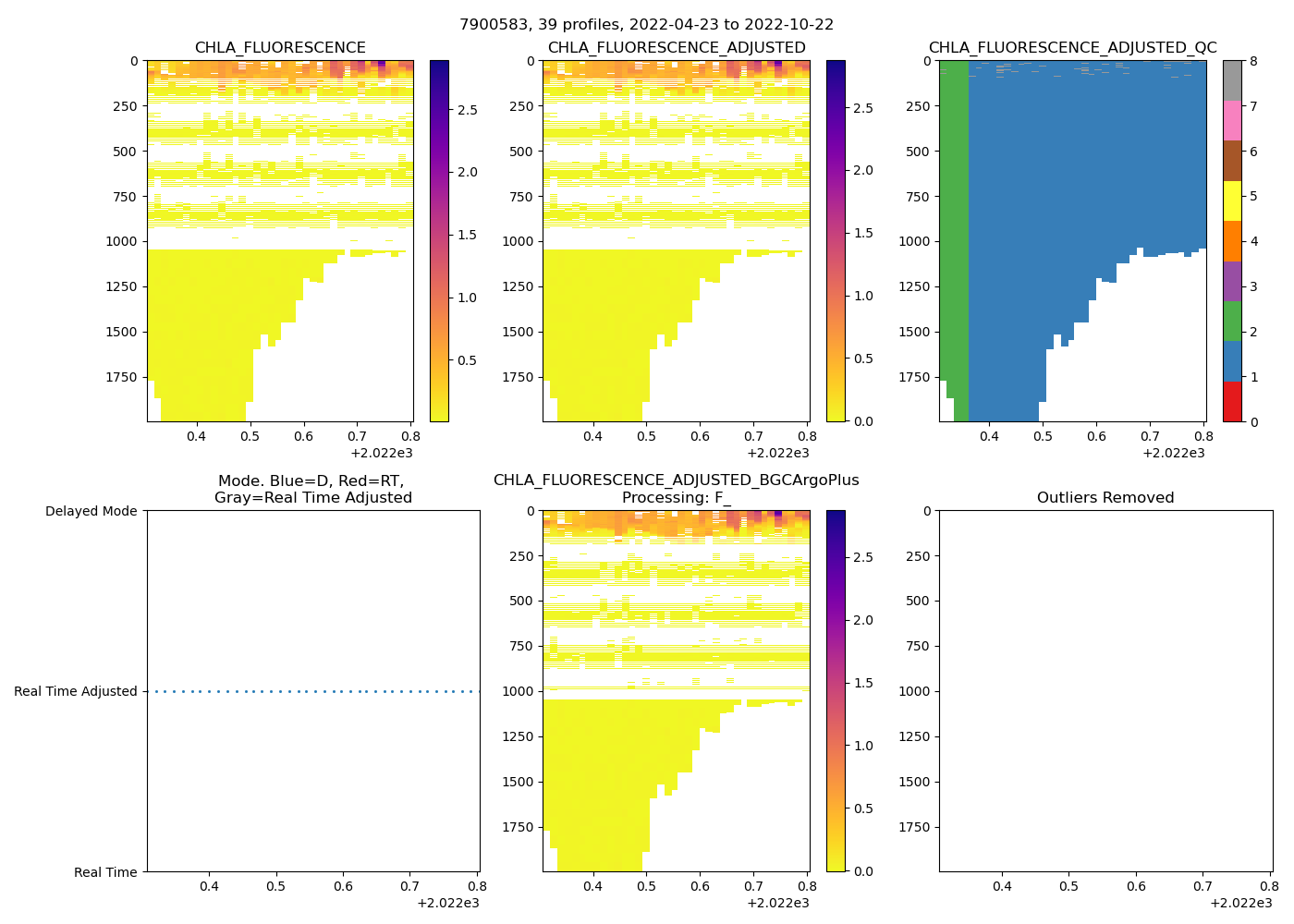
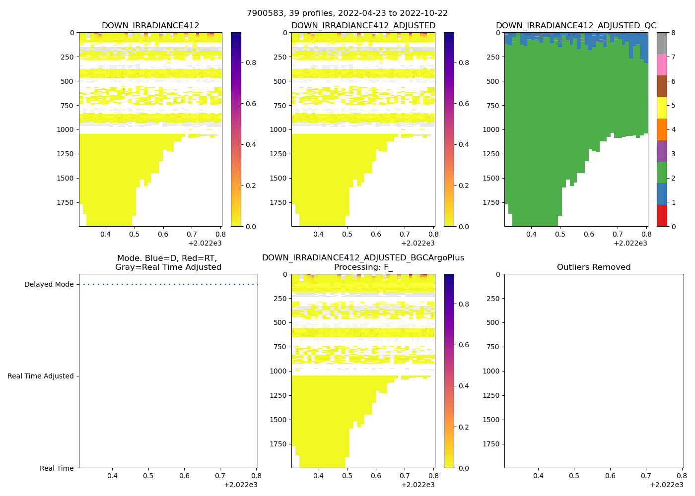
7900583: Argo GERMANY (2022-04-23T17:17 to 2022-10-22T04:18)
39 profiles completed
Individual float file download: BGC_Argo_Plus_Global

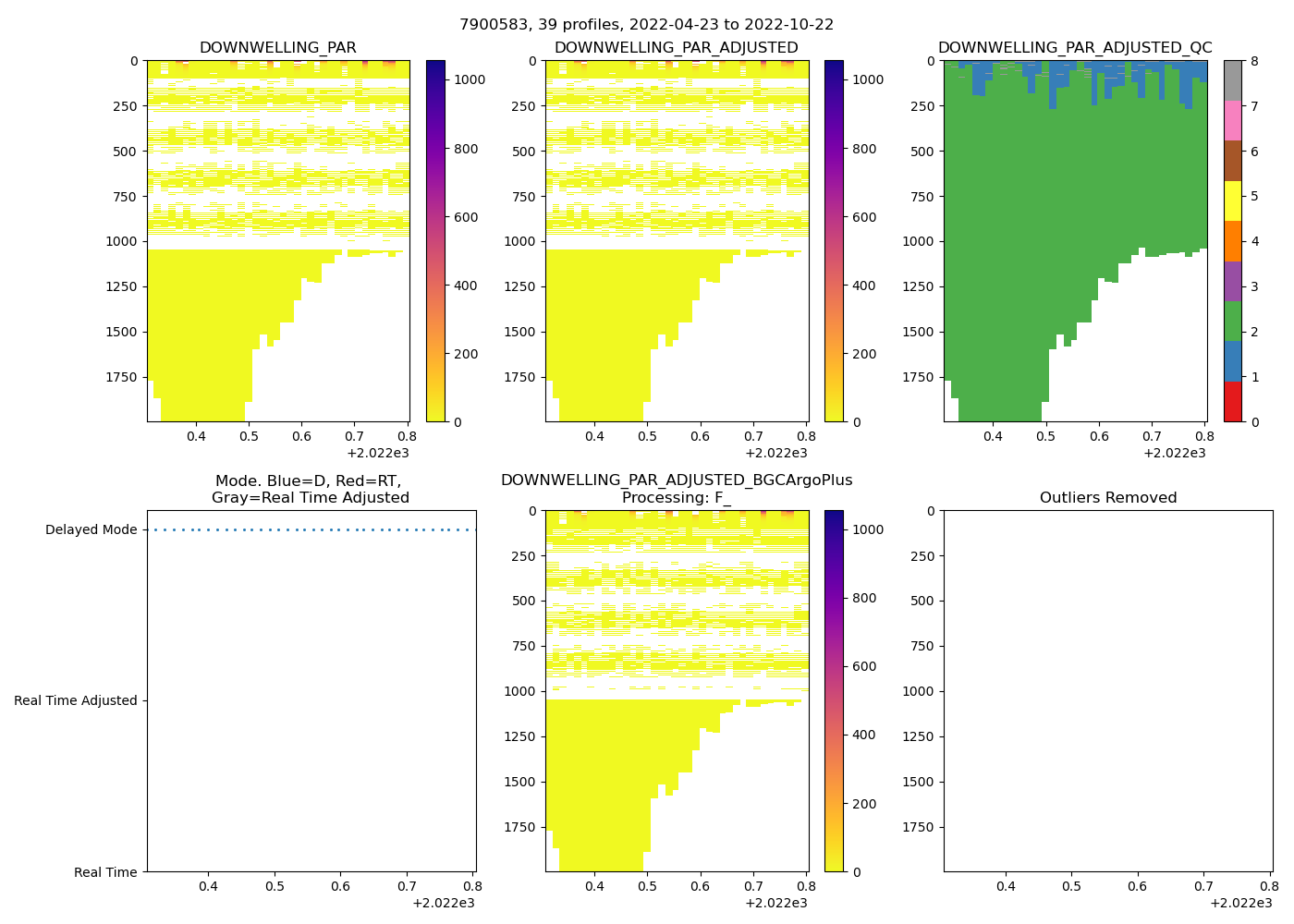
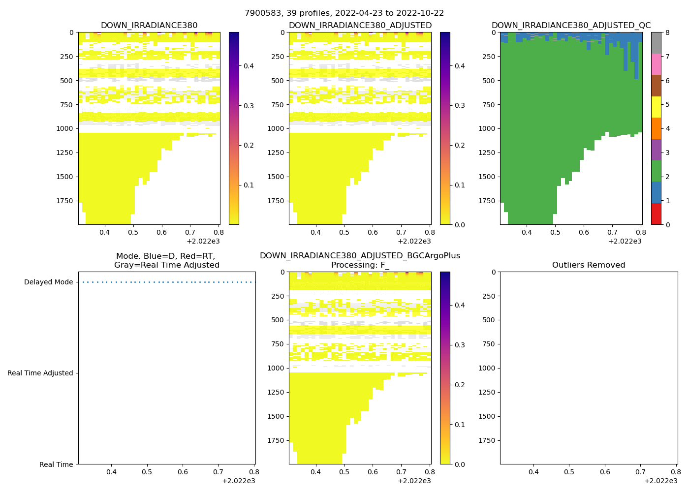
7900583: Argo GERMANY (2022-04-23T17:17 to 2022-10-22T04:18)
39 profiles completed
Individual float file download: BGC_Argo_Plus_Global
