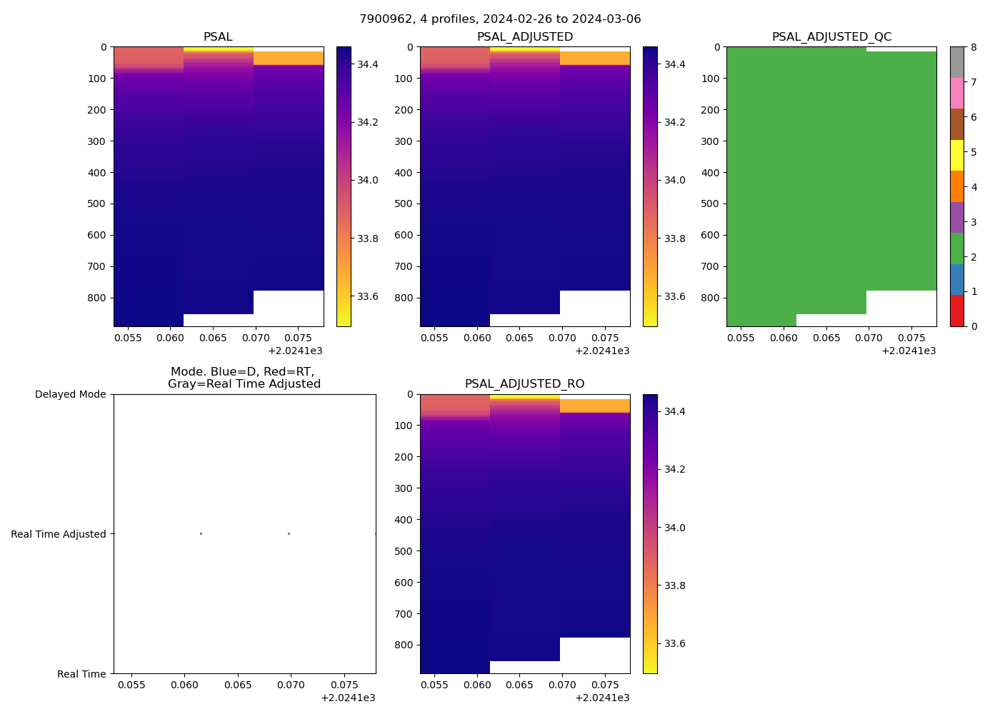
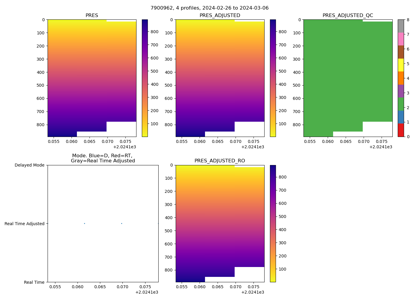
7900962: Argo Australia (2024-02-26T23:40 to 2024-03-06T07:44)
4 profiles completed
Individual float file download: BGC_Argo_Plus_Global

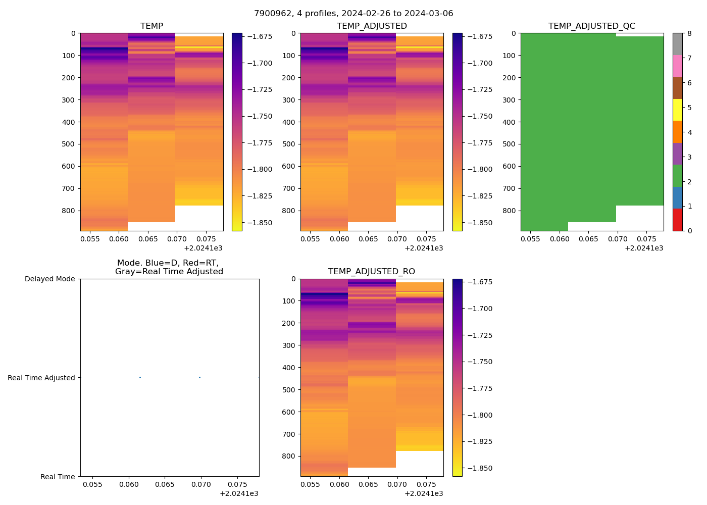
7900962: Argo Australia (2024-02-26T23:40 to 2024-03-06T07:44)
4 profiles completed
Individual float file download: BGC_Argo_Plus_Global
