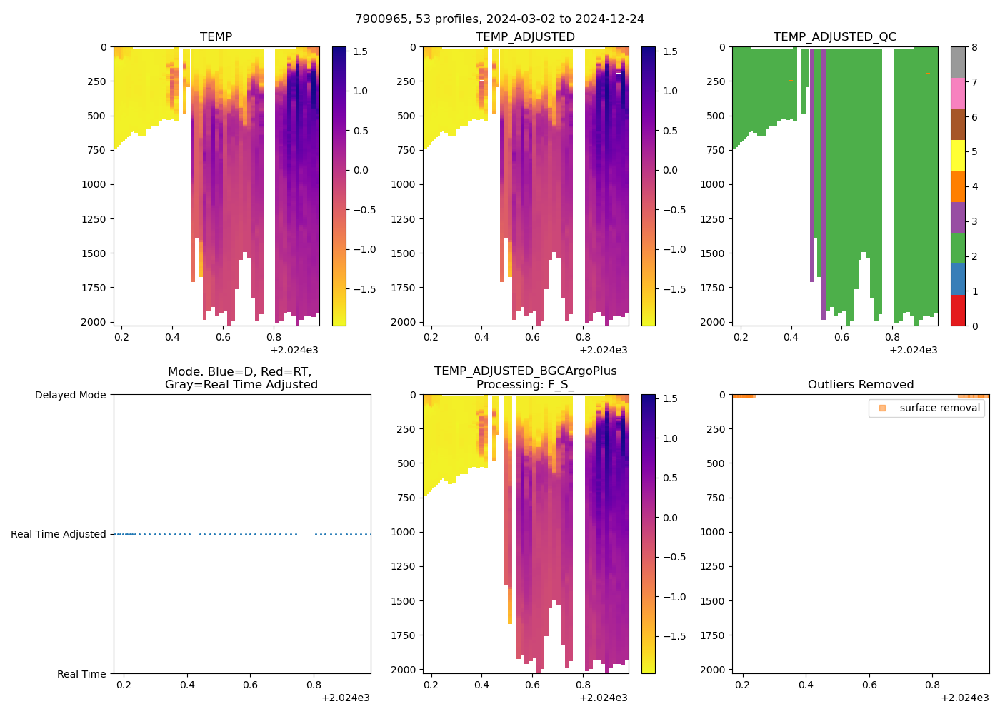
7900965: Argo Australia (2024-03-02T05:46 to 2024-12-24T23:29)
53 profiles completed
Individual float file download: BGC_Argo_Plus_Global

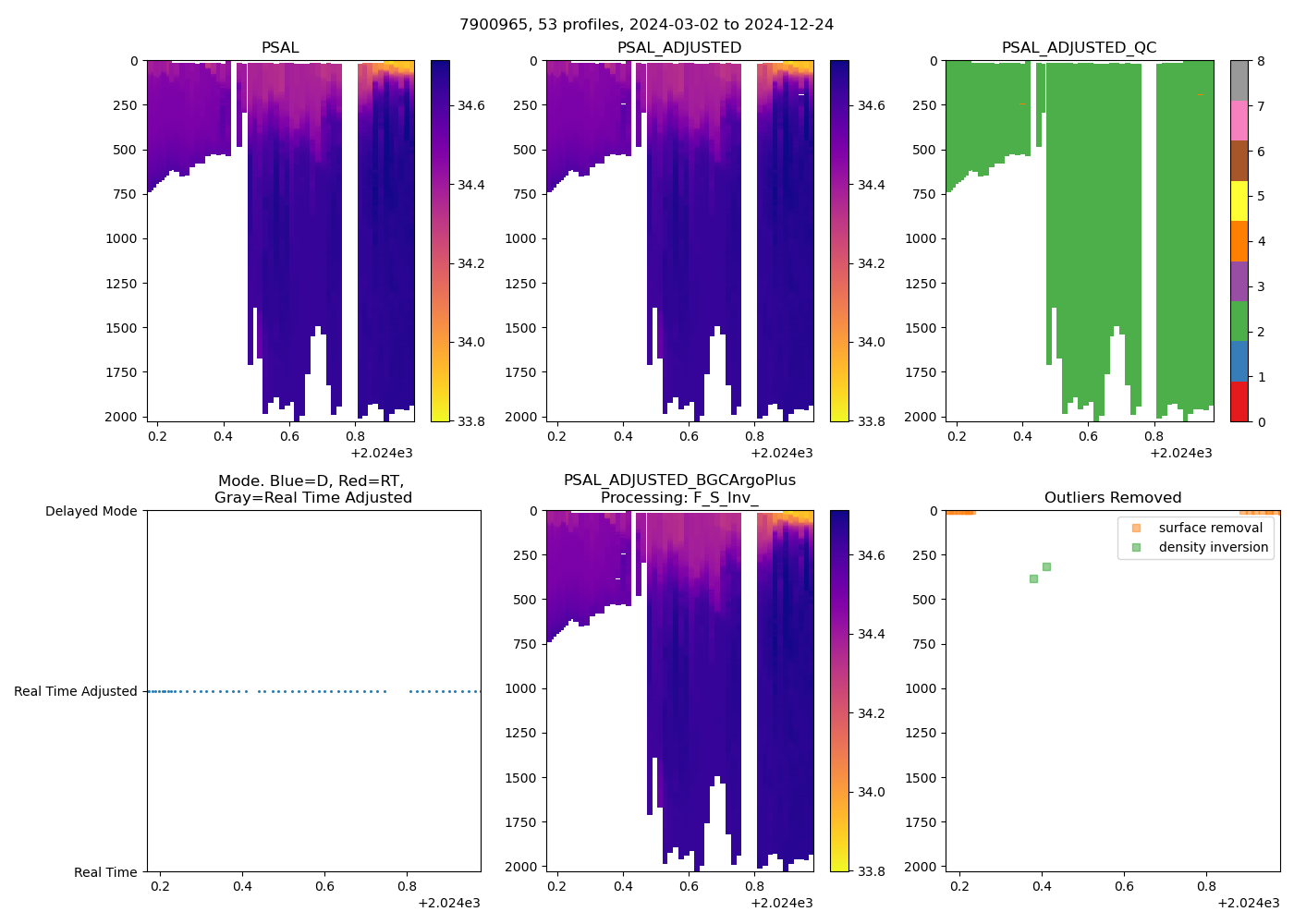
7900965: Argo Australia (2024-03-02T05:46 to 2024-12-24T23:29)
53 profiles completed
Individual float file download: BGC_Argo_Plus_Global
