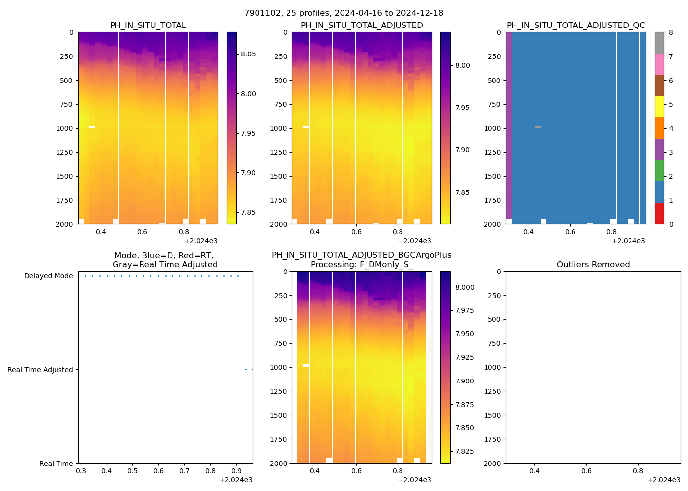
7901102: Argo, GO-BGC (2024-04-16T09:38 to 2024-12-18T08:10)
25 profiles completed
Individual float file download: BGC_Argo_Plus_Global

7901102: Argo, GO-BGC (2024-04-16T09:38 to 2024-12-18T08:10)
25 profiles completed
Individual float file download: BGC_Argo_Plus_Global
