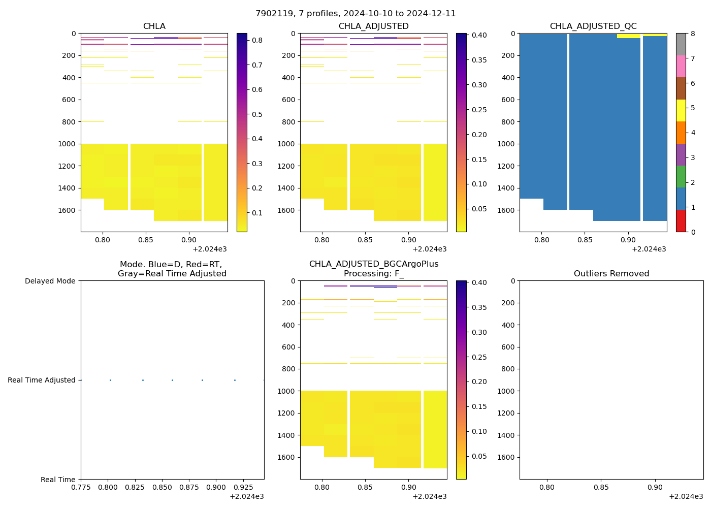
7902119: GO-BGC (2024-10-10T16:07 to 2024-12-11T08:11)
7 profiles completed
Individual float file download: BGC_Argo_Plus_Global

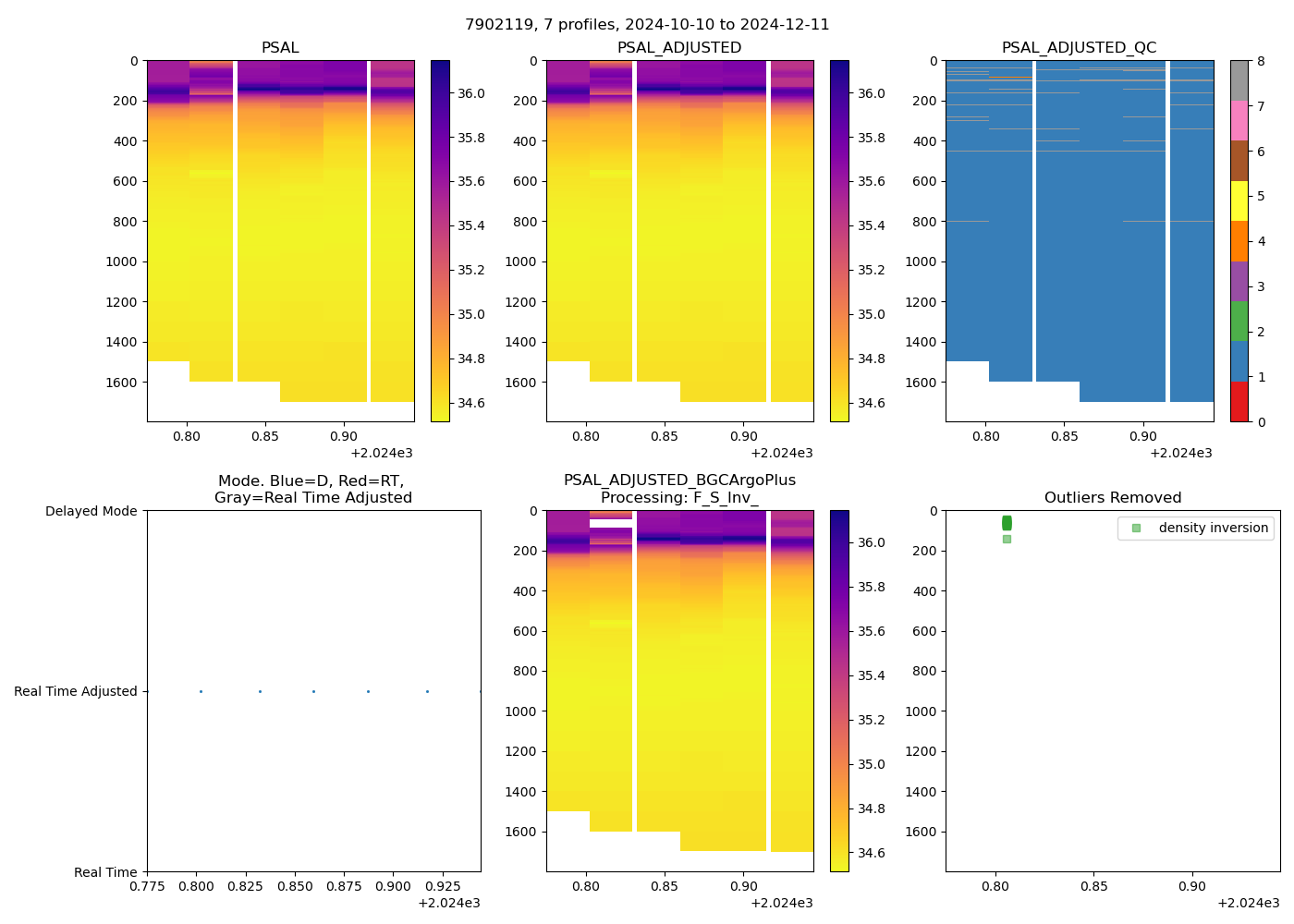
7902119: GO-BGC (2024-10-10T16:07 to 2024-12-11T08:11)
7 profiles completed
Individual float file download: BGC_Argo_Plus_Global
