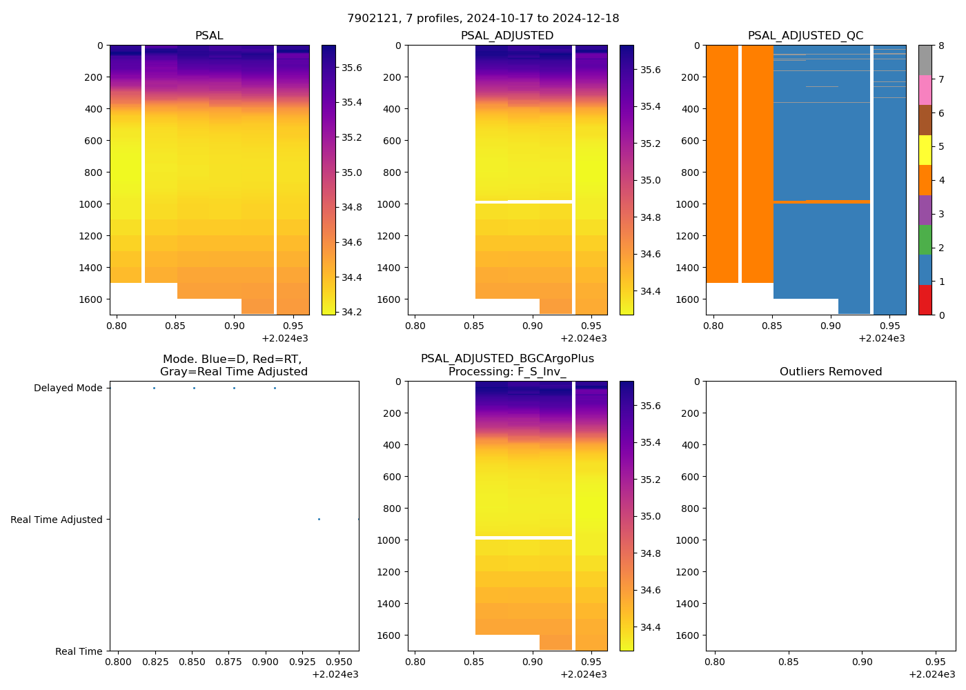
7902121: GO-BGC (2024-10-17T21:53 to 2024-12-18T13:03)
7 profiles completed
Individual float file download: BGC_Argo_Plus_Global

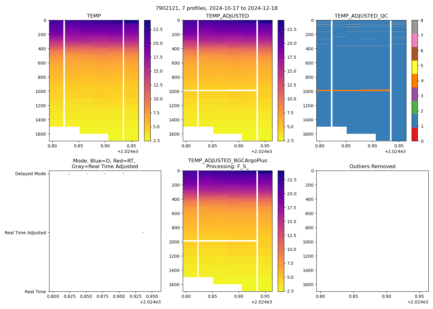
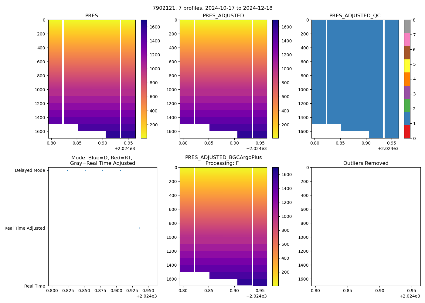
7902121: GO-BGC (2024-10-17T21:53 to 2024-12-18T13:03)
7 profiles completed
Individual float file download: BGC_Argo_Plus_Global
