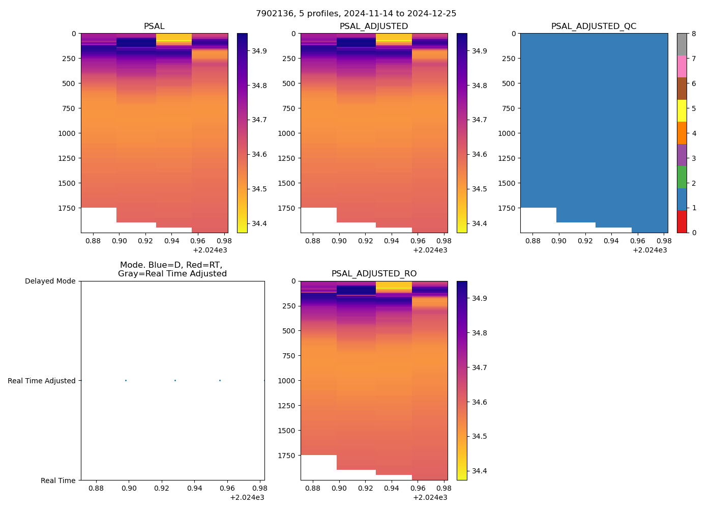
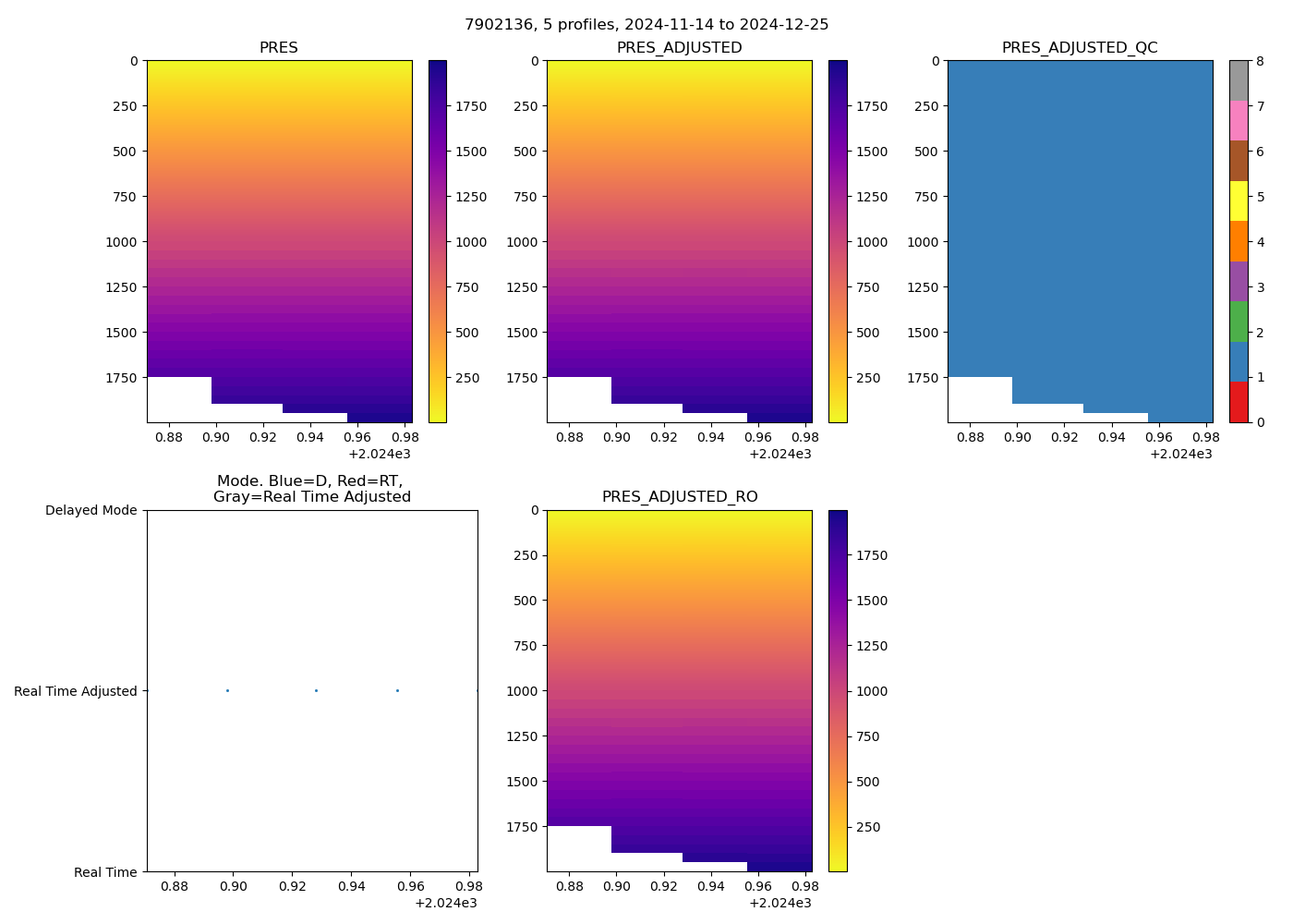
7902136: GO-BGC (2024-11-14T16:22 to 2024-12-25T17:43)
5 profiles completed
Individual float file download: BGC_Argo_Plus_Global

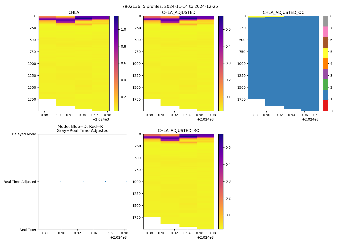
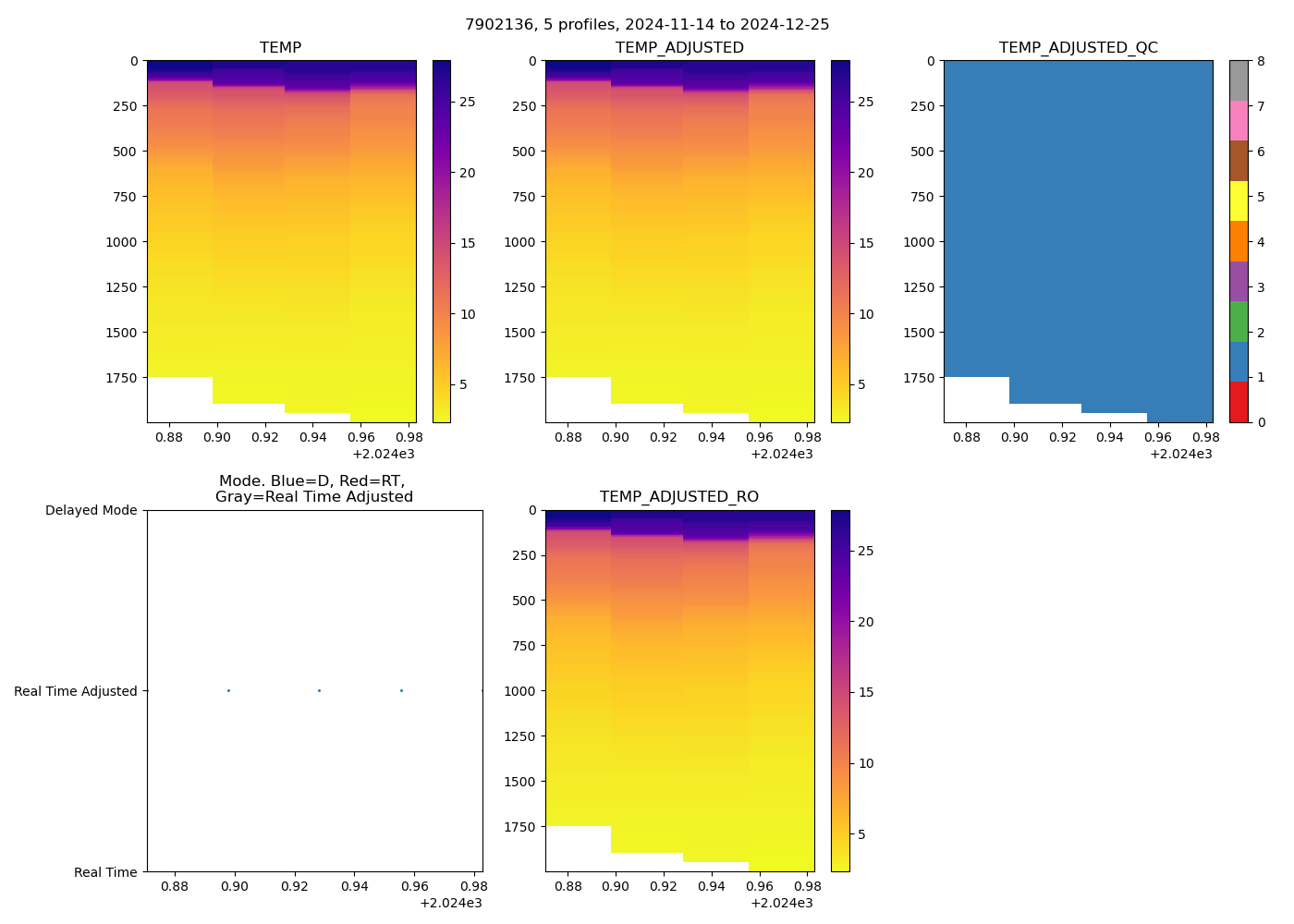
7902136: GO-BGC (2024-11-14T16:22 to 2024-12-25T17:43)
5 profiles completed
Individual float file download: BGC_Argo_Plus_Global
